-
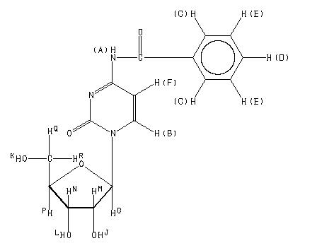
MS-KW-0204 N(4)-benzoylcytidine C16H17N3O6 (Mass of molecular ion: 347)
Source Temperature: 180 °C Sample Temperature: 190 °C Direct, 75 eV
15.0 1.6 17.0 2.7 18.0 13.7 19.0 1.8 26.0 2.5 27.0 5.1 28.0 13.1 29.0 6.7 30.0 2.0 31.0 4.1 38.0 1.8 39.0 4.8 40.0 3.0 41.0 4.7 42.0 5.6 43.0 6.9 44.0 5.6 45.0 2.9 50.0 4.5 51.0 10.2 52.0 3.3 53.0 1.4 54.0 1.7 55.0 5.0 56.0 2.3 57.0 9.3 58.0 1.4 60.0 2.5 61.0 2.0 66.0 1.4 67.0 2.8 68.0 4.6 69.0 6.5 70.0 1.8 71.0 3.5 72.0 1.2 73.0 6.8 74.0 2.3 75.0 1.5 76.0 4.4 77.0 41.9 78.0 6.4 79.0 2.0 83.0 1.4 84.0 1.8 85.0 2.4 86.0 1.5 94.0 3.3 95.0 4.8 96.0 3.4 97.0 2.3 103.0 6.6 104.0 1.9 105.0 100.0 106.0 7.8 111.0 6.0 112.0 32.2 113.0 3.1 114.0 1.0 115.0 1.1 118.0 3.3 121.0 1.2 122.0 9.7 123.0 2.4 138.0 7.5 140.0 15.1 141.0 1.3 151.0 7.9 152.0 1.0 154.0 1.4 170.0 2.4 171.0 1.0 178.0 1.4 186.0 7.8 187.0 3.4 214.0 6.4 215.0 11.2 216.0 10.7 217.0 1.5 244.0 5.7 245.0 1.0 255.0 4.0 274.0 1.1
400 MHz in DMSO-d6
-
1H NMR 399.65 MHz C16 H17 N3 O6 0.033 g : 0.5 ml DMSO-d6 N(4)-benzoylcytidine 
Assign. Shift(ppm)
A 11.2 B 8.525 C 8.025 D 7.636 E 7.530 F 7.36 G 5.847 J 5.55 K 5.22 L 5.09 M 4.05 N 4.02 P 3.96 Q *1 3.79 R *1 3.65 ASSIGNED BY H-H COSY.
Hz ppm Int.4494.90 11.248 317 3403.42 8.517 263 3211.28 8.036 903 3203.77 8.017 928 3060.35 7.658 211 3053.02 7.640 491 3045.69 7.621 355 3016.57 7.549 681 3008.88 7.529 1000 3001.37 7.510 454 2940.92 7.359 199 2338.12 5.851 697 2335.56 5.845 697 2220.16 5.556 443 2216.13 5.546 457 2086.63 5.222 478 2038.46 5.101 458 2032.96 5.087 468 1626.34 4.070 188 1622.12 4.059 397 1616.26 4.045 515 1615.89 4.044 516 1610.40 4.030 462 1604.90 4.016 375 1599.59 4.003 202 1583.29 3.962 467 1580.91 3.956 390 1577.80 3.948 337 1523.40 3.812 182 1523.03 3.811 185 1522.66 3.810 188 1521.38 3.807 195 1518.27 3.799 179 1513.50 3.788 244 1513.14 3.787 241 1510.94 3.781 261 1510.39 3.780 260 1509.29 3.777 259 1466.61 3.670 218 1466.06 3.669 218 1462.58 3.660 280 1459.10 3.651 234 1454.89 3.641 186 1454.53 3.640 187 1451.04 3.631 198 1450.31 3.629 196
更多供应商






