图谱信息 供应商 相关产品
网站主页CAS数据库列表 131-17-9更多图谱邻苯二甲酸二烯丙酯(131-17-9)质谱(MS)

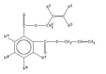
邻苯二甲酸二烯丙酯

产品名称 邻苯二甲酸二烯丙酯

CAS号131-17-9

分子式C14H14O4

分子量246.26

展开


  • Mass

    MS-NW-0275          
    diallyl phthalate
    C14H14O4            (Mass of molecular ion:    246)
    

       Source Temperature: 140 °C
       Sample Temperature:   0 °C
       Direct, 75 eV
    

          27.0       1.3
          39.0       9.7
          41.0     100.0
          42.0       3.7
          43.0       2.1
          50.0       3.1
          51.0       1.2
          57.0       1.3
          65.0       3.6
          76.0       6.4
          77.0       2.2
          80.0       1.7
          83.0       1.0
          93.0       2.9
          98.0      14.6
          99.0       1.0
         104.0      10.5
         105.0       2.9
         115.0       1.0
         121.0       2.5
         132.0      13.8
         133.0       1.5
         149.0      53.7
         150.0       4.9
         172.0       2.9
         188.0       8.5
         189.0      24.4
         190.0       3.9
    

90 MHz in CDCl3


  • 1H NMR 89.56 MHz
    C14 H14 O4 10.6 mol% in CDCl3
    diallyl phthalate
    ChemicalStructure
        Assign.     Shift(ppm)
    A 7.72 B 7.53 C 5.97 D 5.38 E 5.26 F 4.788

         Hz     ppm     Int.
    

        697.63   7.790    291
        694.19   7.752    383
        692.31   7.731    287
        691.25   7.719    366
        688.56   7.689    609
        688.19   7.685    555
        684.63   7.645    185
        680.38   7.597    176
        676.69   7.556    624
        673.56   7.521    320
        672.56   7.510    264
        670.81   7.491    370
        667.44   7.453    304
        557.63   6.227     86
        551.94   6.163    165
        547.50   6.114    121
        546.38   6.101    110
        541.81   6.050    198
        540.44   6.035    161
        536.38   5.990    141
        534.69   5.971    259
        530.31   5.922    210
        529.25   5.910    195
        524.94   5.862    307
        524.56   5.858    314
        519.25   5.798    246
        490.88   5.482    170
        489.44   5.465    451
        487.69   5.446    596
        486.25   5.430    272
        477.63   5.334    249
        476.44   5.320    513
        475.81   5.313    276
        475.25   5.307    338
        474.69   5.301    379
        473.63   5.289    272
        472.25   5.274    309
        470.69   5.256    291
        469.13   5.239    156
        467.63   5.222    150
        466.38   5.208    332
        465.81   5.202    202
        465.13   5.194    261
        464.63   5.188    312
        463.44   5.175    166
        432.56   4.830    720
        431.38   4.817   1000
        430.00   4.802    598
        427.06   4.769    560
        425.75   4.754    920
        424.38   4.739    559
    

in CDCl3



CCl4 solution



liquid film



4880 A,200 M,liquid