-
Assign. Shift(ppm)
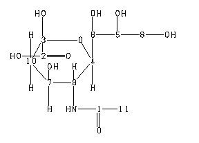
A 8.08 B 3.835 C 3.744 D *1 3.608 E 3.51 F 3.49 G *1 3.294 J 3.180 K 1.989 L 1.892 M 1.706 ASSIGNED BY C-H AND H-H COSY. J(A,E)=8.4HZ J(B,K)=4.9HZ J(B,M)=11.8HZ J(C,E)=10.6HZ J(C,J)=1.0HZ J(D,G)=-10.9HZ J(D,F)=2.2HZ J(G,F)=6.8HZ J(J,F)=9.0HZSpectral Code: 1H NMR : 400 MHz in DMSO-d6
更多供应商



