
2,2'-羟基-4-甲氧基二苯甲酮
产品名称
2,2'-羟基-4-甲氧基二苯甲酮
CAS号131-53-3
分子式C14H12O4
分子量244.24
InChIInChI=1S/C14H12O4/c1-18-9-6-7-11(13(16)8-9)14(17)10-4-2-3-5-12(10)15/h2-8,15-16H,1H3
InChIKeyMEZZCSHVIGVWFI-UHFFFAOYSA-N
SmilesC(C1=CC=C(OC)C=C1O)(C1=CC=CC=C1O)=O
展开
收起
-
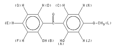
Assign. Shift(ppm)
A *1 11.61
B *1 10.26
C 7.56
D 7.55
E 7.47
F 7.06
G 6.94
J 6.52
K 6.49
L 3.864
Spectral Code: 1H NMR : 90 MHz in CDCl3
-
ppm Int. Assign.
200.41 307 1
166.21 382 2 *
165.65 467 3 *
160.81 487 4
135.02 1000 5
6
132.38 533 7
120.37 387 8
118.76 548 9 #
118.38 528 10 #
113.23 362 11
107.43 573 12
101.52 523 13
55.59 452 14
Spectral Code: 13C NMR : in CDCl3
-
Spectral Code: IR : KBr disc
2,2'-羟基-4-甲氧基二苯甲酮(131-53-3)核磁图(13CNMR) 相关产品图谱