图谱信息 供应商 相关产品
网站主页CAS数据库列表 131-54-4更多图谱2,2'-二羟基-4,4'-二甲氧基二苯甲酮(131-54-4)Raman光谱

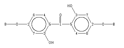
2,2'-二羟基-4,4'-二甲氧基二苯甲酮

产品名称 2,2'-二羟基-4,4'-二甲氧基二苯甲酮

CAS号131-54-4

分子式C15H14O5

分子量274.27

展开



  •     Assign.     Shift(ppm)
    A 11.32 B 7.53 C 6.52 D 6.47 E 3.854
    Spectral Code: 1H NMR : 90 MHz in CDCl3



  •        ppm   Int.  Assign.
    199.14 304 1 165.66 783 2 * 164.70 886 3 * 134.45 870 4 113.54 712 5 107.09 859 6 101.70 1000 7 55.58 995 8
    Spectral Code: 13C NMR : in CDCl3


  • Spectral Code: IR : KBr disc