
紫外线吸收剂UV-9(BP-3)
产品名称
紫外线吸收剂UV-9(BP-3)
CAS号131-57-7
分子式C14H12O3
分子量228.24
InChIInChI=1S/C14H12O3/c1-17-11-7-8-12(13(15)9-11)14(16)10-5-3-2-4-6-10/h2-9,15H,1H3
InChIKeyDXGLGDHPHMLXJC-UHFFFAOYSA-N
SmilesC(C1=CC=C(OC)C=C1O)(C1=CC=CC=C1)=O
展开
收起
-
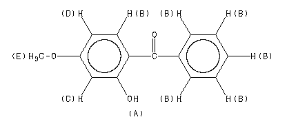
Assign. Shift(ppm)
A 12.68
B 7.75 to 7.29
C 6.51
D 6.403
E 3.845
Spectral Code: 1H NMR : 90 MHz in CDCl3
-
ppm Int. Assign.
199.89 167 1
166.38 311 2 *
166.27 328 3 *
138.31 289 4
135.21 417 5 #
131.42 417 6 #
128.85 1000 7
128.27 983 8
113.17 394 9
107.25 528 10
101.23 533 11
55.53 583 12
Spectral Code: 13C NMR : in CDCl3
-
Spectral Code: IR : nujol mull
-
Spectral Code: Raman : 4880 A,200 M,powder
紫外线吸收剂UV-9(BP-3)(131-57-7)核磁图(1HNMR) 相关产品图谱