
3,3'-二甲基联吡啶
产品名称
3,3'-二甲基联吡啶
CAS号13138-48-2
分子式C22H20N2
分子量312.41
InChIInChI=1S/C22H20N2/c1-13-11-19(15-7-3-5-9-17(15)21(13)23)20-12-14(2)22(24)18-10-6-4-8-16(18)20/h3-12H,23-24H2,1-2H3
InChIKeyFTEGMIZQLGXBNA-UHFFFAOYSA-N
SmilesC1(C2=C3C(C=CC=C3)=C(N)C(C)=C2)=C2C(C=CC=C2)=C(N)C(C)=C1
展开
收起
-
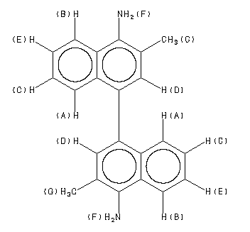
Assign. Shift(ppm)
A 7.83
B 7.40
C 7.36
D 7.22
E 7.19
F 4.11
G 2.36
Spectral Code: 1H NMR : 90 MHz in CDCl3
-
Spectral Code: IR : KBr disc
3,3'-二甲基联吡啶(13138-48-2)红外图谱(IR1) 相关产品图谱