-
MS-NW-8137 3-amino-9-ethylcarbazole C14H14N2 (Mass of molecular ion: 210)
Source Temperature: 160 °C Sample Temperature: 140 °C Direct, 75 eV
18.0 3.0 45.0 1.5 51.0 1.0 63.0 1.0 75.0 1.0 77.0 2.1 83.5 1.0 91.0 2.6 97.5 1.1 101.0 1.0 105.0 2.9 106.0 1.0 126.0 1.1 127.0 4.0 128.0 2.1 139.0 1.1 140.0 1.4 151.0 1.7 152.0 1.9 153.0 2.5 154.0 3.8 166.0 1.6 167.0 5.2 168.0 1.6 178.0 2.2 179.0 1.8 180.0 3.0 181.0 15.3 182.0 3.0 193.0 1.3 194.0 2.1 195.0 73.7 196.0 11.1 209.0 7.0 210.0 100.0 211.0 16.1 212.0 1.2
90 MHz in CDCl3
-
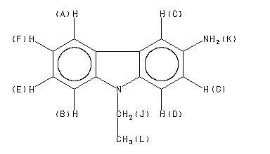
1H NMR 89.56 MHz C14 H14 N2 0.044 g : 0.5 ml CDCl3 3-amino-9-ethylcarbazole 
Assign. Shift(ppm)
A 7.948 B 7.44 C 7.37 D 7.15 E 7.31 F 7.10 G 6.862 J 4.228 K 3.40 L 1.338
Hz ppm Int.716.00 7.995 218 708.44 7.911 261 671.50 7.498 76 670.50 7.487 82 666.94 7.447 65 661.38 7.385 421 659.00 7.359 443 656.31 7.329 607 651.00 7.269 114 648.44 7.241 174 645.38 7.207 379 643.38 7.184 264 637.50 7.119 564 631.31 7.050 153 629.31 7.027 126 618.69 6.909 224 617.00 6.890 222 610.38 6.816 136 608.50 6.795 132 389.88 4.354 149 382.56 4.272 454 375.44 4.193 481 368.38 4.114 178 304.81 3.404 513 126.88 1.417 522 122.94 1.373 107 119.75 1.338 1000 112.56 1.257 475 108.69 1.214 71 108.13 1.208 68
更多供应商




