图谱信息 供应商 相关产品
网站主页CAS数据库列表 13291-61-7更多图谱反式-1,2-环己二胺四乙酸(13291-61-7)红外图谱(IR1)

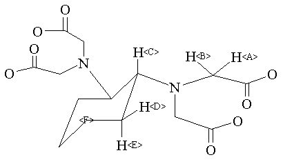
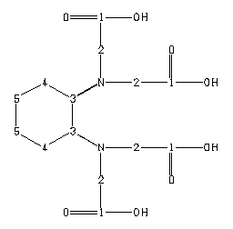
反式-1,2-环己二胺四乙酸

产品名称 反式-1,2-环己二胺四乙酸

CAS号13291-61-7

分子式C14H22N2O8

分子量346.34

展开



  •     Assign.     Shift(ppm)
    A *1 3.605 B *1 3.505 C 2.99 D 2.02 E 1.65 F 1.19
    Spectral Code: 1H NMR : 400 MHz in DMSO-d6



  •        ppm   Int.  Assign.
    170.88 1000 1 61.79 417 2 52.03 291 3 24.89 272 4 24.12 293 5
    Spectral Code: 13C NMR : in DMSO-d6


  • Spectral Code: IR : nujol mull