图谱信息 供应商 相关产品
网站主页CAS数据库列表 134-63-4更多图谱盐酸洛贝林(134-63-4)红外图谱(IR1)

盐酸洛贝林

产品名称 盐酸洛贝林

CAS号134-63-4

分子式C22H28ClNO2

分子量373.92

展开



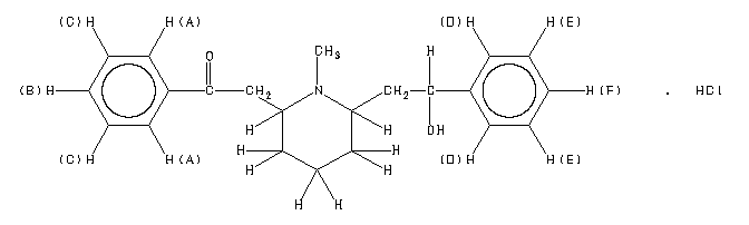
  •     Assign.     Shift(ppm)
    A 8.08 B 7.689 C 7.570 D 7.39 E 7.349 F 7.265 CHEMICALLY EXCHANGING SYSTEM
    Spectral Code: 1H NMR : 400 MHz in DMSO-d6


  • Spectral Code: IR : KBr disc