图谱信息 供应商 相关产品
网站主页CAS数据库列表 13433-31-3更多图谱螺[1,3,3-三甲基吲哚-(8'-甲氧基苯并二氢吡喃)](13433-31-3)核磁图(1HNMR)

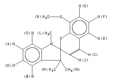
螺[1,3,3-三甲基吲哚-(8'-甲氧基苯并二氢吡喃)]

产品名称 螺[1,3,3-三甲基吲哚-(8'-甲氧基苯并二氢吡喃)]

CAS号13433-31-3

分子式C20H21NO2

分子量307.39

展开

400 MHz in CDCl3


  • 1H NMR 399.65 MHz
    C20 H21 N O2 0.041 g : 0.5 ml CDCl3
    1,3,3-trimethylindolino-8'-methoxybenzopyrylospiran
    ChemicalStructure
        Assign.     Shift(ppm)
    A 7.138 B 7.044 C 6.804 D 6.803 E 6.74 F 6.681 G 6.494 J 5.659 K 3.641 L 2.740 M *1 1.310 N *1 1.159 ASSIGNED BY H-H COSY

         Hz     ppm     Int.
    

       2861.33   7.160     45
       2860.11   7.157     52
       2853.76   7.141     92
       2852.42   7.138    105
       2846.07   7.122     53
       2844.85   7.119     60
       2819.82   7.056     72
       2818.85   7.054     75
       2812.50   7.038     85
       2811.65   7.036     84
       2727.05   6.824     65
       2726.20   6.822     74
       2724.73   6.818    176
       2719.73   6.806     98
       2718.75   6.803    106
       2714.48   6.793    181
       2712.40   6.787     56
       2711.43   6.785     54
       2698.12   6.752    137
       2695.80   6.746    129
       2692.38   6.737    383
       2687.74   6.726     35
       2673.95   6.691    105
       2670.53   6.683     75
       2668.46   6.677     64
       2664.92   6.669     54
       2599.24   6.504     95
       2591.43   6.485     89
       2266.85   5.673    154
       2256.71   5.647    148
       1458.74   3.651     38
       1455.57   3.643   1000
       1095.34   2.741    919
        523.68   1.311    650
        463.50   1.160    612
    

in CDCl3



KBr disc