图谱信息 供应商 相关产品
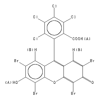
网站主页CAS数据库列表 13473-26-2更多图谱2,3,4,5-四氯-6-(2,4,5,7-四溴-6-羟基-3-氧代-3H-占吨-9-基)苯甲酸(13473-26-2)核磁图(1HNMR)

2,3,4,5-四氯-6-(2,4,5,7-四溴-6-羟基-3-氧代-3H-占吨-9-基)苯甲酸

产品名称 2,3,4,5-四氯-6-(2,4,5,7-四溴-6-羟基-3-氧代-3H-占吨-9-基)苯甲酸

CAS号13473-26-2

分子式C20H4Br4Cl4O5

分子量785.67

展开



  •     Assign.     Shift(ppm)
    A 10.9 B 7.583
    Spectral Code: 1H NMR : 400 MHz in DMSO-d6



  •        ppm   Int.  Assign.
    162.95 301 1 153.68 790 2 147.73 536 3 146.35 268 4 138.64 239 5 135.27 345 6 131.24 266 7 129.71 807 8 126.68 276 9 124.62 279 10 109.74 1000 11 107.49 678 12 100.17 836 13 79.36 315 14
    Spectral Code: 13C NMR : in DMSO-d6


  • Spectral Code: IR : KBr disc