图谱信息 供应商 相关产品
网站主页CAS数据库列表 135-02-4更多图谱邻甲氧基苯甲醛(135-02-4)质谱(MS)

邻甲氧基苯甲醛

产品名称 邻甲氧基苯甲醛

CAS号135-02-4

分子式C8H8O2

分子量136.15

展开


  • Mass

    MS-NW-0753          
    o-methoxybenzaldehyde
    C8H8O2              (Mass of molecular ion:    136)
    

       Source Temperature: 240 °C
       Sample Temperature: 150 °C
       Reservoir, 75 eV
    

          15.0       2.1
          17.0       2.9
          18.0      14.2
          27.0       1.8
          28.0      13.1
          29.0       3.9
          31.0       2.0
          32.0       3.2
          37.0       2.8
          38.0       6.7
          39.0      18.1
          49.0       1.1
          50.0      12.7
          51.0      15.3
          52.0       2.7
          53.0       3.5
          61.0       2.2
          62.0       5.1
          63.0      14.8
          64.0      11.1
          65.0      22.0
          66.0       1.7
          74.0       5.3
          75.0       4.0
          76.0      29.4
          77.0      56.3
          78.0      23.0
          79.0      17.2
          80.0       1.8
          81.0       1.0
          89.0       1.7
          90.0      14.7
          91.0      14.0
          92.0      22.2
          93.0       7.5
          94.0       7.8
         104.0      22.3
         105.0      17.9
         106.0       1.6
         107.0      13.1
         108.0       2.3
         109.0       2.1
         118.0      25.1
         119.0      27.4
         120.0       6.9
         121.0      14.7
         122.0       1.4
         124.0       1.7
         135.0      53.9
         136.0     100.0
         137.0       9.0
    

90 MHz in CDCl3


  • 1H NMR 89.56 MHz
    C8 H8 O2 10.0 mol% in CDCl3
    o-methoxybenzaldehyde
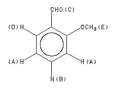
    ChemicalStructure
        Assign.     Shift(ppm)
    A 6.88 to 7.09 B 7.51 C 10.445 D 7.79 E 3.884

         Hz     ppm     Int.
    

        935.81  10.449    275
        935.00  10.440    242
        703.13   7.851    113
        701.31   7.831     89
        700.88   7.826     85
        695.06   7.761    115
        693.69   7.746    104
        693.25   7.741     99
        682.63   7.623     61
        680.69   7.601     57
        675.19   7.539     87
        674.31   7.530     87
        673.63   7.522     63
        672.06   7.505     79
        666.94   7.447    118
        665.00   7.426     98
        633.63   7.075     54
        632.63   7.064     88
        631.81   7.055     88
        627.88   7.011     95
        626.81   6.999    128
        625.63   6.986    113
        624.88   6.978     91
        624.44   6.973     61
        623.88   6.967     30
        619.31   6.916     66
        618.56   6.907    116
        617.88   6.900     98
        616.75   6.887     34
        347.81   3.884   1000
    

in CDCl3



CCl4 solution



liquid film



4880 A,200 M,liquid