图谱信息 供应商 相关产品
网站主页CAS数据库列表 135-88-6更多图谱N-苯基-2-萘胺(135-88-6)核磁图(13CNMR)

N-苯基-2-萘胺

产品名称 N-苯基-2-萘胺

CAS号135-88-6

分子式C16H13N

分子量219.28

展开


  • Mass

    MS-NW-1721          
    N-phenyl-2-naphthylamine
    C16H13N             (Mass of molecular ion:    219)
    

       Source Temperature: 190 °C
       Sample Temperature: 120 °C
       Direct, 75 eV
    

          39.0       2.2
          50.0       1.2
          51.0       4.0
          63.0       2.2
          65.0       1.8
          75.0       1.6
          77.0       3.9
          89.0       1.8
          94.5       1.7
          95.5       3.0
          96.5       1.5
         101.0       1.5
         102.0       2.8
         107.5       1.3
         108.5      11.4
         109.0       4.0
         109.5       5.9
         110.0       1.0
         114.0       1.0
         115.0      10.1
         116.0       3.5
         126.0       2.2
         127.0       3.4
         128.0       1.0
         140.0       1.2
         153.0       1.1
         165.0       1.3
         178.0       1.0
         189.0       2.5
         190.0       1.5
         191.0       3.4
         192.0       2.8
         204.0       1.2
         216.0       4.6
         217.0      21.7
         218.0      34.3
         219.0     100.0
         220.0      17.5
         221.0       1.4
    

400 MHz in CDCl3


  • 1H NMR 399.65 MHz
    C16 H13 N 0.034 g : 0.5 ml CDCl3
    N-phenyl-2-naphthylamine
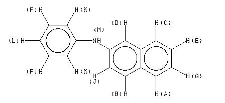
    ChemicalStructure
        Assign.     Shift(ppm)
    A 7.72 B 7.71 C 7.618 D 7.40 E 7.39 F 7.29 G 7.28 J 7.181 K 7.131 L 6.964 M 5.80 ASSIGNED BY H-H AND C-H COSY.

         Hz     ppm     Int.
    

       3089.23   7.730    393
       3088.62   7.729    406
       3086.55   7.724    561
       3081.18   7.710    438
       3080.44   7.708    445
       3077.64   7.701    588
       3049.44   7.631    369
       3048.71   7.629    369
       3041.26   7.610    435
       3040.53   7.608    432
       2958.74   7.404    785
       2957.15   7.400    677
       2951.78   7.386    379
       2950.44   7.383    518
       2949.10   7.380    259
       2946.66   7.374     58
       2943.60   7.366    311
       2942.26   7.363    296
       2923.10   7.315    113
       2921.02   7.309    569
       2918.70   7.304    504
       2917.36   7.300    451
       2915.89   7.297    189
       2913.70   7.291    838
       2912.48   7.288    982
       2910.52   7.283    735
       2909.30   7.280    452
       2907.10   7.275    323
       2905.15   7.270    818
       2903.69   7.266    357
       2902.47   7.263    315
       2875.49   7.196    504
       2873.17   7.190    502
       2866.70   7.174    467
       2864.38   7.168    451
       2860.35   7.158     48
       2859.99   7.157     48
       2859.50   7.156     48
       2856.08   7.147    181
       2854.25   7.142    801
       2853.15   7.140   1000
       2851.07   7.134    303
       2847.53   7.126    274
       2846.56   7.123    442
       2845.70   7.121    749
       2844.60   7.118    659
       2842.29   7.112    121
       2791.50   6.985    211
       2790.41   6.983    382
       2789.31   6.980    216
       2787.60   6.976     45
       2786.74   6.973     49
       2784.42   6.968    285
       2784.06   6.967    294
       2783.08   6.964    641
       2782.10   6.962    295
       2776.86   6.949    193
       2775.76   6.946    320
       2774.66   6.943    169
       2316.04   5.796    273
    

in CDCl3



CCl4 solution



KBr disc



nujol mull



OXIDATION WITH O2 IN TOLUENE/ALKALINE ALCOHOL