-
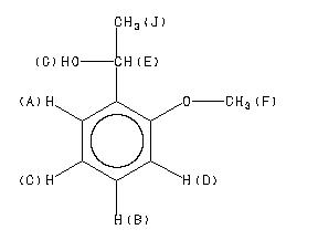
MS-NW-7298 (+-)-2-methoxy-alpha-methylbenzyl alcohol C9H12O2 (Mass of molecular ion: 152)
Source Temperature: 200 °C Sample Temperature: 190 °C Reservoir, 75 eV
27.0 1.6 28.0 1.1 29.0 1.0 38.0 1.4 39.0 5.8 41.0 1.0 43.0 10.8 45.0 1.9 50.0 3.1 51.0 7.6 52.0 1.6 53.0 1.6 55.0 1.0 62.0 1.3 63.0 4.3 64.0 2.4 65.0 8.2 66.0 2.0 68.5 2.8 74.0 1.3 75.0 1.5 76.0 3.5 77.0 22.2 78.0 4.9 79.0 6.9 89.0 1.7 90.0 1.0 91.0 10.0 92.0 3.3 93.0 2.9 94.0 10.4 95.0 1.2 103.0 2.9 104.0 2.0 105.0 7.4 107.0 52.2 108.0 6.1 109.0 28.3 110.0 2.6 119.0 4.1 120.0 1.5 121.0 12.2 122.0 5.9 133.0 1.4 134.0 1.8 135.0 5.9 136.0 1.0 137.0 100.0 138.0 9.2 151.0 1.6 152.0 26.7 153.0 3.2
90 MHz in CDCl3
-
1H NMR 89.56 MHz C9 H12 O2 0.05 ml : 0.5 ml CDCl3 (+-)-2-methoxy-alpha-methylbenzyl alcohol 
Assign. Shift(ppm)
A 7.32 B 7.22 C 6.91 D 6.83 E 5.070 F 3.791 G 2.9 J 1.457
Hz ppm Int.661.06 7.382 52 659.19 7.361 64 653.94 7.302 80 652.00 7.281 105 647.13 7.226 93 645.13 7.204 64 639.44 7.140 87 637.44 7.118 60 627.44 7.006 65 626.19 6.992 82 620.00 6.923 74 618.88 6.911 97 615.56 6.874 115 612.88 6.844 45 611.50 6.828 36 607.69 6.786 67 606.56 6.773 59 457.44 5.108 65 450.94 5.036 67 339.56 3.792 1000 133.44 1.490 519 126.94 1.418 494
更多供应商





