图谱信息 供应商 相关产品
网站主页CAS数据库列表 13523-86-9更多图谱吲哚洛尔(13523-86-9)红外图谱(IR1)

吲哚洛尔

产品名称 吲哚洛尔

CAS号13523-86-9

分子式C14H20N2O2

分子量248.32

展开


  • Mass

    MS-IW-4296          
    1-(4-indolyloxy)-3-isopropylamino-2-propanol
    C14H20N2O2          (Mass of molecular ion:    248)
    

       Source Temperature: 170 °C
       Sample Temperature: 140 °C
       Direct, 75 eV
    

          18.0       3.6
          27.0       2.5
          28.0       4.4
          29.0       1.3
          30.0      36.2
          39.0       2.3
          41.0       5.6
          42.0       4.0
          43.0       8.3
          44.0       3.0
          50.0       1.2
          51.0       2.7
          52.0       1.4
          55.0       1.0
          56.0      17.2
          57.0       2.9
          58.0       3.2
          60.0       2.4
          63.0       1.2
          66.5       1.6
          70.0       3.2
          71.0       2.6
          72.0      76.3
          73.0       3.7
          74.0       2.4
          76.0       1.3
          77.0       4.2
          78.0       3.6
          79.0       1.3
          82.0       1.4
          84.0       1.1
          89.0       2.8
          98.0       5.2
         100.0       6.4
         102.0       4.1
         104.0      11.6
         105.0       8.8
         114.0       2.3
         115.0       1.7
         116.0      15.6
         116.5       2.1
         117.0       3.3
         118.0       1.6
         130.0       1.0
         132.0       6.8
         133.0     100.0
         134.0      11.0
         146.0       2.2
         147.0       1.6
         158.0       1.1
         159.0       2.7
         172.0       2.7
         175.0       1.0
         204.0       8.6
         205.0       1.3
         230.0       2.8
         233.0       2.5
         248.0      18.2
         249.0       3.5
    

400 MHz in DMSO-d6


  • 1H NMR 399.65 MHz
    C14 H20 N2 O2 0.038 g : 0.5 ml DMSO-d6
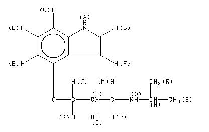
    1-(4-indolyloxy)-3-isopropylamino-2-propanol
    ChemicalStructure
        Assign.     Shift(ppm)
    A 11.07 B 7.206 C 7.00 D 6.981 E 6.475 F 6.46 G *1 5.03 J *2 4.03 K *2 4.01 L 3.95 M *3 2.766 N 2.728 P *3 2.619 Q *1 1.5 R *4 0.992 S *4 0.987 J(J,K)=-9.6HZ J(L,M)=4.6HZ J(L,P)=6.9HZ J(M,P)=-11.6HZ

         Hz     ppm     Int.
    

       4425.35  11.074    100
       2882.39   7.213    164
       2879.64   7.206    205
       2877.20   7.200    161
       2802.43   7.013     71
       2801.82   7.011     61
       2795.10   6.994    316
       2793.58   6.991    496
       2786.71   6.973    280
       2778.63   6.953     96
       2592.16   6.487    187
       2590.48   6.482    189
       2585.30   6.469    178
       2583.62   6.465    201
       2581.94   6.461    163
       2579.80   6.456    190
       2577.51   6.450    148
       2010.80   5.032     48
       1621.09   4.057     41
       1615.60   4.043     62
       1611.48   4.033    161
       1606.29   4.020    326
       1601.26   4.007    223
       1596.98   3.996     36
       1591.64   3.983     85
       1588.75   3.976     37
       1583.10   3.962     66
       1577.45   3.948     76
       1572.27   3.935     51
       1114.65   2.790     83
       1110.08   2.778     87
       1102.91   2.760    129
       1098.48   2.749    119
       1095.28   2.741    131
       1089.02   2.725    169
       1082.76   2.710    126
       1076.66   2.695     51
       1055.30   2.641    126
       1048.43   2.624    128
       1043.70   2.612     96
       1036.83   2.595     90
        399.63   1.000   1000
        397.64   0.995    955
        393.37   0.985    958
        391.39   0.980    893
    

in DMSO-d6



KBr disc



nujol mull