图谱信息 供应商 相关产品
网站主页CAS数据库列表 13524-04-4更多图谱1-(2-氯苯基)-1-乙醇(13524-04-4)质谱(MS)

1-(2-氯苯基)-1-乙醇

产品名称 1-(2-氯苯基)-1-乙醇

CAS号13524-04-4

分子式C8H9ClO

分子量156.61

展开


  • Mass

    MS-IW-6460          
    2-chloro-alpha-methylbenzyl alcohol
    C8H9ClO             (Mass of molecular ion:    156)
    

       Source Temperature: 220 °C
       Sample Temperature: 150 °C
       Reservoir, 75 eV
    

          18.0       1.6
          27.0       2.0
          29.0       1.3
          38.0       1.8
          39.0       3.2
          43.0      18.3
          45.0       4.2
          50.0       8.0
          51.0      18.1
          52.0       2.7
          61.0       1.0
          62.0       1.5
          63.0       3.1
          65.0       1.8
          70.5       7.9
          71.5       2.5
          73.0       1.4
          74.0       4.1
          75.0       9.7
          76.0       4.5
          77.0      80.1
          78.0       7.3
          85.0       1.1
          89.0       1.3
          91.0       3.2
         101.0       3.1
         102.0       5.0
         103.0      23.0
         104.0       2.6
         105.0       5.6
         111.0       4.7
         112.0       6.3
         113.0      24.3
         114.0       3.5
         115.0       7.6
         121.0       3.6
         125.0       1.0
         137.0       1.1
         138.0      19.1
         139.0      10.2
         140.0       7.2
         141.0     100.0
         142.0       8.0
         143.0      31.8
         144.0       2.5
         155.0       1.2
         156.0      16.8
         157.0       1.8
         158.0       5.5
    

400 MHz in CDCl3


  • 1H NMR 399.65 MHz
    C8 H9 Cl O 0.05 ml : 0.5 ml CDCl3
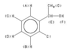
    2-chloro-alpha-methylbenzyl alcohol
    ChemicalStructure
        Assign.     Shift(ppm)
    A 7.526 B 7.278 C 7.240 D 7.153 E 5.219 F 2.90 G 1.416

         Hz     ppm     Int.
    

       3012.70   7.539    154
       3010.99   7.535    154
       3005.00   7.520    178
       3003.30   7.515    174
       2913.70   7.291    171
       2912.35   7.288    187
       2905.52   7.271    220
       2904.42   7.268    255
       2902.10   7.262     97
       2901.61   7.261     97
       2900.76   7.259     94
       2900.27   7.258     86
       2894.29   7.243    199
       2893.07   7.240    179
       2886.96   7.224    119
       2886.60   7.223    121
       2885.62   7.221    104
       2866.09   7.172    150
       2864.26   7.167    150
       2858.40   7.153    172
       2856.57   7.148    160
       2850.83   7.134     80
       2849.12   7.130     75
       2095.46   5.244     62
       2089.11   5.228    181
       2082.64   5.212    181
       2076.17   5.195     62
        569.46   1.425   1000
        562.99   1.409    971
    

in CDCl3



liquid film