图谱信息 供应商 相关产品
网站主页CAS数据库列表 13548-69-1更多图谱2,7-二氨基芴二盐酸盐(13548-69-1)红外图谱(IR2)

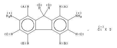
2,7-二氨基芴二盐酸盐

产品名称 2,7-二氨基芴二盐酸盐

CAS号13548-69-1

分子式C13H14Cl2N2

分子量269.17

展开


  • Mass

    MS-NW-2332          
    2,7-fluorenediamine dihydrochloride
    C13H12N2 2HCl       (Mass of molecular ion:    196)
    

       Source Temperature: 200 °C
       Sample Temperature: 140 °C
       Direct, 75 eV
    

          18.0       2.7
          28.0       1.0
          35.0       2.4
          36.0      22.5
          38.0       7.4
          63.0       1.0
          70.5       1.0
          83.5       6.0
          84.0       1.9
          97.5       7.0
          98.0       8.5
          98.5       1.1
         115.0       1.0
         139.0       2.3
         140.0       1.4
         141.0       1.0
         151.0       2.4
         152.0       2.6
         153.0       1.0
         166.0       1.3
         167.0       5.9
         168.0       4.4
         178.0       2.2
         179.0       2.5
         180.0      11.7
         181.0       2.1
         193.0       1.1
         194.0       1.3
         195.0      35.7
         196.0     100.0
         197.0      14.8
         198.0       1.1
    

400 MHz in D2O


  • 1H NMR 399.65 MHz
    C13 H12 N2 0.042 g : 0.5 ml D2O
    2,7-fluorenediamine dihydrochloride
    ChemicalStructure
        Assign.     Shift(ppm)
    A 7.339 B 7.294 C 7.263 D 3.134 SOLVENT SIGNAL REMOVED

         Hz     ppm     Int.
    

       2933.72   7.341    674
       2932.62   7.338    704
       2926.88   7.324     26
       2920.90   7.309    351
       2912.96   7.289   1000
       2905.88   7.272    631
       2903.93   7.267    559
       2897.71   7.251    224
       2895.75   7.246    211
       1252.44   3.134    589
    

KBr disc



nujol mull