400 MHz in CDCl3
-
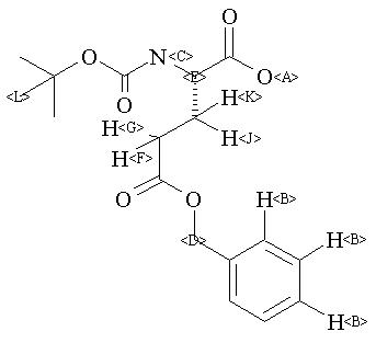
1H NMR 399.65 MHz C17 H23 N O6 0.041 g : 0.5 ml CDCl3 N-tert-butoxycarbonyl-L-glutamic acid 5-benzyl ester 
Assign. Shift(ppm)
A 11. B 7.35 C 6.78 C 5.23 D 5.119 E 4.37 E 4.24 F *1 2.53 G *1 2.47 J *2 2.25 K *2 2.04 L 1.430
Hz ppm Int.2940.83 7.359 60 2940.06 7.357 56 2938.69 7.354 82 2935.49 7.346 398 2931.67 7.336 63 2929.53 7.331 46 2926.64 7.324 24 2922.52 7.313 21 2046.05 5.120 248 1013.49 2.536 22 1006.47 2.519 28 1004.79 2.515 30 997.77 2.497 30 571.59 1.431 1000
更多供应商




