-
MS-NW-0239 2-benzothiazolamine C7H6N2S (Mass of molecular ion: 150)
Source Temperature: 170 °C Sample Temperature: 0 °C Direct, 75 eV
28.0 1.6 37.0 1.4 38.0 1.6 39.0 2.2 45.0 3.7 50.0 1.6 51.0 1.6 52.0 1.2 58.0 1.6 60.0 1.3 61.0 1.0 62.0 1.6 63.0 3.8 64.0 2.0 65.0 1.1 69.0 9.9 70.0 2.0 71.0 1.0 75.0 5.3 78.0 1.6 79.0 1.1 81.0 1.6 82.0 4.3 91.0 2.5 95.0 1.9 96.0 21.7 97.0 1.8 98.0 1.0 105.0 2.2 106.0 2.7 108.0 4.0 118.0 3.3 122.0 5.2 123.0 21.9 124.0 2.7 125.0 1.0 149.0 3.1 150.0 100.0 151.0 10.3 152.0 5.4
90 MHz in CDCl3
-
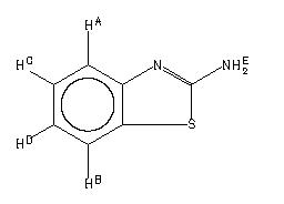
1H NMR 89.56 MHz C7 H6 N2 S 0.040 g : 0.5 ml CDCl3 2-benzothiazolamine 
Assign. Shift(ppm)
A 7.566 B 7.516 C 7.287 D 7.122 E 5.85
Hz ppm Int.683.19 7.629 481 682.56 7.622 522 681.63 7.611 511 680.81 7.602 490 679.38 7.586 418 678.75 7.579 340 677.63 7.567 468 677.25 7.562 464 675.56 7.544 803 675.19 7.539 616 674.06 7.527 738 673.44 7.520 789 671.69 7.500 771 670.81 7.491 796 669.88 7.480 1000 669.25 7.473 589 661.31 7.384 425 659.75 7.367 531 654.19 7.305 972 652.69 7.288 731 651.88 7.279 227 646.44 7.218 606 644.69 7.199 588 643.88 7.190 869 642.13 7.170 826 636.69 7.110 565 636.25 7.105 586 634.75 7.088 687 629.13 7.025 287 627.56 7.008 252 523.38 5.844 162
更多供应商






