图谱信息 供应商 相关产品
网站主页CAS数据库列表 137-58-6更多图谱利多卡因(137-58-6)红外图谱(IR1)

利多卡因

产品名称 利多卡因

CAS号137-58-6

分子式C14H22N2O

分子量234.34

展开


  • Mass

    MS-IW-8077          
    2-diethylamino-N-(2,6-xylyl)acetamide
    C14H22N2O           (Mass of molecular ion:    234)
    

       Source Temperature: 150 °C
       Sample Temperature: 120 °C
       Direct, 75 eV
    

          27.0       1.0
          28.0       1.6
          29.0       2.6
          30.0       6.3
          42.0       2.4
          56.0       2.5
          57.0       1.0
          58.0       7.4
          72.0       4.7
          77.0       1.8
          84.0       1.0
          86.0     100.0
          87.0       7.1
          91.0       1.6
         105.0       1.0
         120.0       2.5
         234.0       5.5
         235.0       2.1
    

400 MHz in CDCl3


  • 1H NMR 399.65 MHz
    C14 H22 N2 O 0.040 g : 0.5 ml CDCl3
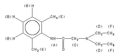
    2-diethylamino-N-(2,6-xylyl)acetamide
    ChemicalStructure
        Assign.     Shift(ppm)
    A 8.92 B 7.09 C 3.215 D 2.685 E 2.231 F 1.134

         Hz     ppm     Int.
    

       3566.41   8.924     25
       2834.59   7.093     75
       2831.91   7.086    426
       1285.28   3.217    547
       1084.11   2.713    124
       1077.03   2.695    378
       1069.82   2.677    384
       1062.74   2.660    131
        891.72   2.232   1000
        460.21   1.152    423
        453.13   1.134    782
        445.92   1.116    399
    

in CDCl3



KBr disc



nujol mull