-
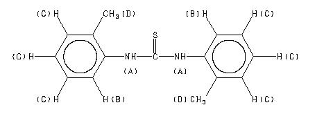
MS-NW-0475 1,3-di(o-tolyl)-2-thiourea C15H16N2S (Mass of molecular ion: 256)
Source Temperature: 210 °C Sample Temperature: 140 °C Direct, 75 eV
27.0 3.2 28.0 3.0 30.0 1.8 32.0 1.3 33.0 1.0 34.0 2.7 38.0 1.9 39.0 13.0 40.0 1.3 41.0 3.5 45.0 4.1 50.0 3.6 51.0 8.5 52.0 4.5 53.0 2.6 54.0 1.1 62.0 1.9 63.0 7.4 64.0 3.1 65.0 21.2 66.0 1.9 75.0 1.2 76.0 1.5 77.0 13.7 78.0 7.8 79.0 8.0 80.0 2.7 89.0 9.5 90.0 7.4 91.0 30.6 92.0 3.3 93.0 1.6 103.0 1.1 104.0 7.8 105.0 2.5 106.0 53.9 107.0 100.0 108.0 8.2 116.0 6.7 117.0 18.1 118.0 3.5 121.0 4.8 122.0 1.6 123.0 3.2 124.0 7.0 127.0 1.1 128.0 1.1 130.0 6.5 131.0 4.2 132.0 3.3 133.0 6.0 148.0 8.4 149.0 27.9 150.0 11.3 151.0 2.4 165.0 1.0 204.0 1.9 205.0 1.7 206.0 2.7 207.0 3.9 208.0 1.0 221.0 10.5 222.0 25.9 223.0 14.4 224.0 2.4 241.0 19.4 242.0 3.6 243.0 1.3 255.0 5.5 256.0 42.1 257.0 7.9 258.0 2.5
90 MHz in CDCl3
400 MHz in CDCl3
-
1H NMR 89.56 MHz C15 H16 N2 S 0.039 g : 0.5 ml CDCl3 1,3-di(o-tolyl)-2-thiourea 
Assign. Shift(ppm)
A 7.7 B 7.36 C 7.27 to 7.200 D 2.294 400MHZ : HSP-44-178
Hz ppm Int.692.69 7.735 54 667.06 7.449 28 664.81 7.424 37 662.75 7.401 57 661.81 7.390 55 659.56 7.365 93 656.75 7.334 108 654.63 7.310 81 651.50 7.275 165 649.06 7.248 625 647.13 7.226 214 645.75 7.211 264 641.94 7.168 44 639.94 7.146 52 205.50 2.295 1000 200.13 2.235 30
-
1H NMR 399.65 MHz C15 H16 N2 S 0.033 g : 0.5 ml CDCl3 1,3-di(o-tolyl)-2-thiourea 
Assign. Shift(ppm)
A 7.8 B 7.379 C 7.27 to 7.22 D 2.299 90MHZ : HSP-04-941
Hz ppm Int.2957.40 7.400 34 2953.37 7.390 172 2950.20 7.382 192 2948.49 7.378 120 2944.58 7.368 203 2941.53 7.361 31 2941.16 7.360 31 2907.10 7.275 88 2899.05 7.254 540 2895.26 7.245 433 2893.68 7.241 418 2890.14 7.232 468 2887.33 7.225 161 2885.50 7.221 196 2880.13 7.207 34 934.45 2.339 32 931.52 2.331 39 918.95 2.300 1000
更多供应商






