-
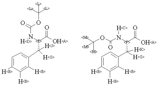
MS-NW-6315 N-tert-butoxycarbonyl-L-phenylalanine C14H19NO4 (Mass of molecular ion: 265)
Source Temperature: 180 °C Sample Temperature: 130 °C Direct, 75 eV
27.0 2.7 28.0 4.2 29.0 9.4 31.0 3.0 39.0 5.7 41.0 16.4 42.0 1.1 43.0 2.2 44.0 1.3 51.0 2.6 55.0 1.7 56.0 2.2 57.0 100.0 58.0 4.7 59.0 19.8 63.0 1.5 65.0 6.2 74.0 8.5 77.0 3.2 79.0 1.2 87.0 1.9 89.0 1.3 91.0 46.7 92.0 12.5 93.0 1.1 103.0 2.3 104.0 2.4 118.0 1.9 119.0 1.3 120.0 10.8 121.0 1.0 146.0 1.7 147.0 3.8 148.0 50.1 149.0 5.3 163.0 1.3 164.0 8.3 165.0 1.8 192.0 1.8 209.0 9.8 210.0 1.4
400 MHz in CDCl3
-
1H NMR 399.65 MHz C14 H19 N O4 0.039 g : 0.5 ml CDCl3 N-tert-butoxycarbonyl-L-phenylalanine 
Assign. Shift(ppm)
A 11.2 B 7.29 to 7.19 C 6.59 D 4.99 E 4.622 F 4.398 G *1 3.19 J *1 3.083 K *1 2.908 L 1.417 M 1.281 MIXTURE OF ISOMERS DUE TO C-N HINDERED ROTATION
Hz ppm Int.4477.69 11.205 26 2924.25 7.318 84 2917.48 7.301 246 2910.15 7.282 263 2903.74 7.266 178 2902.46 7.263 140 2896.96 7.249 187 2893.48 7.241 47 2889.45 7.230 65 2888.54 7.228 60 2888.17 7.227 60 2882.67 7.213 89 2882.31 7.213 89 2874.80 7.194 186 2867.47 7.175 113 1759.86 4.404 24 1756.02 4.394 24 1164.57 2.914 22 566.35 1.418 1000 512.13 1.282 469
更多供应商






