图谱信息 供应商 相关产品
网站主页CAS数据库列表 137503-97-0更多图谱N-氯乙酰-D-苯丙氨酸(137503-97-0)红外图谱(IR1)

N-氯乙酰-D-苯丙氨酸

产品名称 N-氯乙酰-D-苯丙氨酸

CAS号137503-97-0

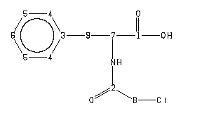
分子式C11H12ClNO3

分子量241.67

展开



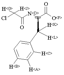
  •     Assign.     Shift(ppm)
    A 7.33 B 7.29 C 7.181 D 6.97 E 4.895 F 4.7 G *1 4.049 J *1 4.036 K *2 3.244 L *2 3.181 J(D,E)=5.6HZ J(J,G)=-15.4HZ J(K,L)=-14.2HZ J(E,K)=5.5HZ J(E,L)=6.2HZ
    Spectral Code: 1H NMR : 400 MHz in CDCl3



  •        ppm   Int.  Assign.
    173.16 269 1 165.78 224 2 134.41 488 3 128.40 1000 4 127.85 1000 5 126.52 483 6 52.59 318 7 41.33 463 8 36.57 373 9
    Spectral Code: 13C NMR : in CDCl3


  • Spectral Code: IR : KBr disc


  • Spectral Code: Raman : 4880 A,200 M,powder