图谱信息 供应商 相关产品
网站主页CAS数据库列表 13906-09-7更多图谱2-巯基-4(3H)-喹唑酮(13906-09-7)质谱(MS)

2-巯基-4(3H)-喹唑酮

产品名称 2-巯基-4(3H)-喹唑酮

CAS号13906-09-7

分子式C8H6N2OS

分子量178.21

展开


  • Mass

    MS-IW-4954          
    2-mercapto-4(3H)-quinazolinone
    C8H6N2OS            (Mass of molecular ion:    178)
    

       Source Temperature: 170 °C
       Sample Temperature: 200 °C
       Direct, 75 eV
    

          38.0       1.7
          39.0       2.6
          50.0       2.2
          51.0       1.1
          52.0       1.8
          59.0       1.2
          62.0       1.7
          63.0       6.6
          64.0       7.8
          65.0       2.7
          73.0       1.3
          74.0       1.3
          75.0       1.9
          76.0       1.8
          89.0       2.5
          90.0       9.3
          91.0       6.3
          92.0      22.9
          93.0       1.6
         117.0       3.4
         118.0       2.3
         119.0      41.5
         120.0      39.1
         121.0       3.1
         122.0       2.3
         144.0       1.1
         145.0       7.7
         146.0       1.3
         149.0       1.5
         150.0       4.3
         160.0       1.3
         162.0       2.0
         177.0       1.3
         178.0     100.0
         179.0      10.7
         180.0       5.1
    

400 MHz in DMSO-d6


  • 1H NMR 399.65 MHz
    C8 H6 N2 O S 0.030 g : 0.5 ml DMSO-d6
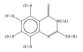
    2-mercapto-4(3H)-quinazolinone
    ChemicalStructure
        Assign.     Shift(ppm)
    A *1 12.73 B *1 12.50 C 7.953 D 7.744 E 7.383 F 7.334

         Hz     ppm     Int.
    

       5087.08  12.729    599
       4994.03  12.497    576
       3183.43   7.966    691
       3181.97   7.962    822
       3175.37   7.946    790
       3174.09   7.943    869
       3104.12   7.768    390
       3102.66   7.764    465
       3099.54   7.756     69
       3096.80   7.749    507
       3095.51   7.746    785
       3094.41   7.743    713
       3088.55   7.729    505
       3087.09   7.725    567
       2955.03   7.395   1000
       2954.66   7.394    983
       2946.78   7.374    906
       2946.42   7.373    889
       2939.27   7.355    514
       2938.17   7.352    603
       2931.03   7.334    941
       2930.48   7.333    863
       2926.45   7.323     70
       2924.07   7.317    467
       2923.15   7.315    532
    

in DMSO-d6



KBr disc



nujol mull