图谱信息 供应商 相关产品
网站主页CAS数据库列表 13909-73-4更多图谱2',3',4'-三甲氧基苯乙酮(13909-73-4)Raman光谱

2',3',4'-三甲氧基苯乙酮

产品名称 2',3',4'-三甲氧基苯乙酮

CAS号13909-73-4

分子式C11H14O4

分子量210.23

展开


  • Mass

    MS-NW-7523          
    2',3',4'-trimethoxyacetophenone
    C11H14O4            (Mass of molecular ion:    210)
    

       Source Temperature: 260 °C
       Sample Temperature: 170 °C
       Reservoir, 75 eV
    

          15.0       5.6
          27.0       1.3
          28.0       2.0
          38.0       3.0
          39.0       3.9
          43.0      25.0
          50.0       2.6
          51.0       3.3
          52.0       1.5
          53.0       3.4
          62.0       1.0
          63.0       1.9
          64.0       1.1
          65.0       2.6
          66.0       3.4
          75.0       1.1
          76.0       1.4
          77.0       5.3
          78.0       2.4
          79.0       2.5
          81.0       2.0
          91.0       1.5
          92.0       2.5
          93.0       1.8
          94.0       3.5
          95.0       3.7
          97.0       1.0
          97.5       1.8
         105.0       1.2
         106.0       3.1
         107.0       3.0
         109.0       4.7
         120.0       2.0
         121.0       3.2
         122.0       3.5
         123.0       2.3
         124.0       1.9
         125.0       1.0
         134.0       3.7
         135.0       4.3
         136.0       1.0
         137.0       8.2
         138.0       1.2
         139.0       2.1
         149.0       2.9
         150.0       2.0
         151.0       9.7
         152.0      16.1
         153.0       2.6
         162.0       2.7
         163.0       1.4
         164.0       1.0
         165.0       4.4
         166.0       1.0
         167.0       2.8
         177.0       5.3
         179.0       2.8
         180.0       5.0
         181.0       2.2
         192.0       4.2
         193.0       6.3
         195.0     100.0
         196.0      11.4
         197.0       1.5
         209.0       1.0
         210.0      38.7
         211.0       4.9
    

90 MHz in CDCl3


  • 1H NMR 89.56 MHz
    C11 H14 O4 0.05 ml : 0.5 ml CDCl3
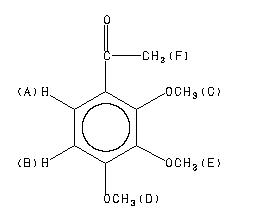
    2',3',4'-trimethoxyacetophenone
    ChemicalStructure
        Assign.     Shift(ppm)
    A 7.526 B 6.726 C *1 3.977 D *1 3.911 E *1 3.870 F 2.595

         Hz     ppm     Int.
    

        678.94   7.581    133
        670.06   7.482    167
        606.44   6.772    138
        597.50   6.672    109
        356.19   3.978   1000
        350.38   3.913    802
        346.69   3.872    981
        341.50   3.814     27
        232.50   2.597    949
        230.13   2.570     43
    

in CDCl3



liquid film