图谱信息 供应商 相关产品
网站主页CAS数据库列表 13983-15-8更多图谱固紫B盐(13983-15-8)核磁图(13CNMR)

固紫B盐

产品名称 固紫B盐

CAS号13983-15-8

分子式C30H28Cl4N6O4Zn

分子量743.78

展开

400 MHz in DMSO-d6


  • 1H NMR 399.65 MHz
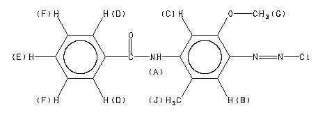
    C15 H14 Cl N3 O2 0.039 g : 0.5 ml DMSO-d6
    Fast Violet B salt
    ChemicalStructure
        Assign.     Shift(ppm)
    A 10.4 B 8.460 C 8.102 D 8.061 E 7.695 F 7.605 G 4.164 J 2.434

         Hz     ppm     Int.
    

       4166.56  10.426    184
       3381.65   8.462    242
       3381.04   8.461    241
       3277.44   8.201    319
       3225.40   8.071    209
       3220.21   8.058     75
       3218.23   8.053    237
       3216.86   8.050    189
       3084.56   7.719     46
       3083.34   7.716     32
       3079.07   7.705     39
       3077.24   7.700    122
       3075.26   7.695     48
       3070.98   7.685     61
       3069.76   7.682     96
       3068.54   7.679     58
       3046.42   7.623    164
       3038.64   7.604    240
       3032.99   7.590     50
       3031.31   7.585    103
       1664.28   4.165   1000
        973.05   2.435    694
    

D2O



KBr disc



nujol mull