图谱信息 供应商 相关产品
网站主页CAS数据库列表 140-03-4更多图谱乙酰蓖麻油甲酯(140-03-4)红外图谱(IR1)

乙酰蓖麻油甲酯

产品名称 乙酰蓖麻油甲酯

CAS号140-03-4

分子式C21H38O4

分子量354.52

展开


  • Mass

    MS-IW-6349          
    methyl (R)-cis-12-acetoxy-9-octadecenoate
    C21H38O4            (Mass of molecular ion:    354)
    

       Source Temperature: 130 °C
       Sample Temperature: 100 °C
       Direct, 75 eV
    

          15.0       1.2
          27.0       1.5
          29.0       3.9
          39.0       1.8
          41.0      13.1
          42.0       1.9
          43.0      85.9
          44.0       2.5
          45.0       1.8
          53.0       2.1
          54.0       8.6
          55.0      23.1
          56.0       2.2
          57.0       4.2
          59.0       4.4
          60.0       1.4
          66.0       1.5
          67.0      25.3
          68.0      14.1
          69.0      14.2
          70.0       1.8
          71.0       2.4
          73.0       1.2
          74.0       9.9
          75.0       1.5
          77.0       1.5
          79.0       7.5
          80.0       7.7
          81.0      28.0
          82.0      22.9
          83.0      11.9
          84.0       7.4
          85.0       3.2
          87.0       6.8
          91.0       2.1
          93.0       5.1
          94.0       8.2
          95.0      23.1
          96.0      26.8
          97.0      19.1
          98.0      10.3
          99.0       1.8
         101.0       1.8
         105.0       1.3
         106.0       1.2
         107.0       4.0
         108.0       6.3
         109.0      14.1
         110.0      17.3
         111.0       6.3
         112.0       1.7
         113.0       2.3
         114.0       1.0
         115.0       3.2
         119.0       1.8
         120.0       1.3
         121.0       5.2
         122.0       6.5
         123.0      10.9
         124.0      16.3
         125.0       4.6
         126.0       1.0
         127.0       1.1
         128.0       1.2
         129.0       2.5
         132.0       1.1
         133.0       1.8
         135.0       6.0
         136.0       7.7
         137.0       8.1
         138.0      10.2
         139.0       2.4
         140.0       1.5
         141.0       2.0
         143.0       2.4
         147.0       2.3
         148.0       2.3
         149.0       5.4
         150.0      19.2
         151.0       7.7
         152.0       6.8
         153.0       1.9
         154.0       2.4
         155.0       1.8
         157.0       1.8
         163.0       3.2
         164.0      10.1
         165.0       6.2
         166.0      10.1
         167.0       2.9
         168.0       3.3
         169.0       1.0
         173.0       1.1
         177.0       2.3
         178.0       6.8
         179.0       3.2
         180.0       3.4
         181.0       2.2
         182.0       4.1
         183.0       1.2
         187.0       1.4
         190.0       1.3
         191.0       1.6
         192.0       2.6
         193.0       1.6
         195.0       2.9
         196.0       4.6
         206.0       1.3
         208.0       7.1
         209.0       2.9
         210.0       3.0
         220.0       6.1
         221.0       1.5
         222.0       2.1
         223.0       1.8
         224.0       2.6
         227.0       1.4
         234.0       2.1
         237.0       1.2
         238.0       1.3
         240.0       2.4
         251.0       1.0
         262.0      24.6
         263.0      21.4
         264.0       5.4
         265.0       1.8
         279.0       1.1
         294.0     100.0
         295.0      23.0
         296.0       3.5
         298.0       1.1
         323.0       1.3
    

400 MHz in CDCl3


  • 1H NMR 399.65 MHz
    C21 H38 O4 0.05 ml : 0.5 ml CDCl3
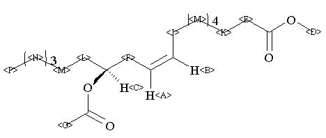
    methyl (R)-cis-12-acetoxy-9-octadecenoate
    ChemicalStructure
        Assign.     Shift(ppm)
    A 5.467 B 5.328 C 4.872 D 3.662 E 2.30 F 2.29 G 2.025 J 2.02 K 1.620 L 1.523 M 1.31 N 1.27 P 0.879

         Hz     ppm     Int.
    

       2191.16   5.483     31
       2180.18   5.456     44
       2134.89   5.342     53
       2133.54   5.339     37
       2124.02   5.315     33
       1953.86   4.889     47
       1947.63   4.874     70
       1941.41   4.858     48
       1463.75   3.663    981
        927.37   2.321    128
        922.73   2.309     55
        919.92   2.302    223
        917.24   2.296    102
        912.23   2.283    173
        910.40   2.278     94
        904.30   2.263     36
        903.08   2.260     37
        816.89   2.045     53
        809.57   2.026   1000
        805.91   2.017    103
        805.18   2.015    103
        798.10   1.997     41
        654.42   1.638     48
        647.34   1.620     71
        642.82   1.609     44
        640.14   1.602     54
        616.70   1.544     63
        610.47   1.528     69
        606.08   1.517     34
        605.71   1.516     34
        603.76   1.511     32
        522.22   1.307    476
        514.16   1.287    237
        511.35   1.280    241
        507.81   1.271    292
        503.78   1.261    255
        357.79   0.896    101
        356.08   0.891     94
        351.07   0.879    303
        344.12   0.862    122
    

in CDCl3



liquid film