-
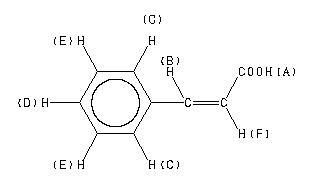
MS-NW-1664 cinnamic acid C9H8O2 (Mass of molecular ion: 148)
Source Temperature: 240 °C Sample Temperature: 180 °C Reservoir, 75 eV
18.0 1.6 27.0 3.4 28.0 1.4 37.0 1.1 38.0 2.2 39.0 5.6 45.0 2.5 46.0 1.4 49.0 1.3 50.0 11.4 51.0 29.9 51.5 3.9 52.0 5.0 53.0 1.4 60.0 1.5 61.0 1.2 62.0 2.7 63.0 6.1 65.0 3.1 65.5 2.3 69.0 1.1 73.0 1.4 74.0 7.4 75.0 5.5 76.0 6.9 77.0 39.0 78.0 6.9 79.0 2.8 91.0 20.8 92.0 4.0 94.0 1.5 101.0 1.8 102.0 22.2 103.0 51.7 104.0 5.2 105.0 2.2 107.0 2.3 119.0 4.0 120.0 8.7 130.0 5.4 131.0 25.8 132.0 2.7 147.0 97.3 148.0 100.0 149.0 10.2
400 MHz in CDCl3
-
1H NMR 399.65 MHz C9 H8 O2 0.020 g : 0.5 ml CDCl3 cinnamic acid 
Assign. Shift(ppm)
A 11. B 7.806 C 7.557 D 7.42 E 7.40 F 6.465 D AND E WERE CONFIRMED BY LAOCN PROGRAM. J(B,F)=16.1HZ
Hz ppm Int.3127.75 7.827 403 3111.82 7.787 425 3030.49 7.583 37 3029.02 7.580 53 3028.11 7.577 51 3025.36 7.571 270 3022.98 7.565 306 3020.23 7.558 250 3019.13 7.555 368 3018.03 7.552 203 3015.65 7.546 332 3011.99 7.537 47 3010.89 7.534 52 2975.36 7.445 46 2972.79 7.439 44 2970.96 7.434 47 2967.85 7.427 141 2965.83 7.422 168 2964.00 7.417 1000 2961.44 7.411 767 2959.42 7.406 324 2958.32 7.403 405 2957.41 7.401 502 2955.21 7.395 118 2954.29 7.393 110 2953.01 7.389 86 2950.08 7.382 41 2948.80 7.379 34 2947.52 7.376 35 2591.44 6.485 692 2575.32 6.444 670
更多供应商






