图谱信息 供应商 相关产品
网站主页CAS数据库列表 14103-61-8更多图谱邻苯二甲酸二(3,5,5-三甲基己基)酯(14103-61-8)红外图谱(IR1)

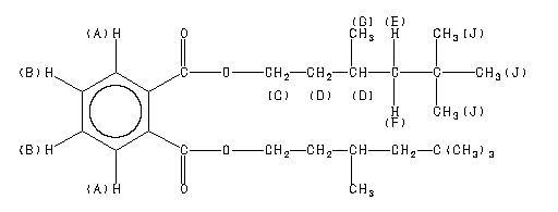
邻苯二甲酸二(3,5,5-三甲基己基)酯

产品名称 邻苯二甲酸二(3,5,5-三甲基己基)酯

CAS号14103-61-8

分子式C26H42O4

分子量418.61

展开



  •     Assign.     Shift(ppm)
    A 7.69 B 7.53 C 4.33 D 1.94 to 1.40 E *1 1.24 F *1 1.09 G 0.99 J 0.90
    Spectral Code: 1H NMR : 90 MHz in CDCl3



  •        ppm   Int.  Assign.
    167.47 376 1 132.49 418 2 130.78 499 3 128.78 569 4 64.21 581 5 51.16 604 6 37.79 468 7 31.05 343 8 30.00 1000 9 26.44 371 10 22.59 490 11
    Spectral Code: 13C NMR : in CDCl3


  • Spectral Code: IR : liquid film