图谱信息 供应商 相关产品
网站主页CAS数据库列表 14114-05-7更多图谱溴化环丙基三苯鏻(14114-05-7)红外图谱(IR2)

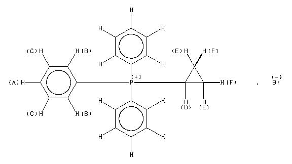
溴化环丙基三苯鏻

产品名称 溴化环丙基三苯鏻

CAS号14114-05-7

分子式C21H20BrP

分子量383.26

展开


  • Mass

    MS-NW-7133          
    cyclopropyltriphenylphosphonium bromide
    C21H20BrP           (Mass of molecular ion:    382)
    

       Source Temperature: 230 °C
       Sample Temperature: 310 °C
       Direct, 75 eV
    

          15.0       1.3
          18.0       2.0
          26.0       1.2
          27.0       3.9
          28.0       2.7
          37.0       1.5
          38.0       3.0
          39.0      18.8
          40.0       3.3
          41.0      23.1
          42.0       2.3
          50.0       4.2
          51.0      13.1
          52.0       2.4
          53.0       1.0
          56.0       1.4
          57.0       5.3
          63.0       3.3
          65.0       4.2
          67.0       2.2
          69.0       1.5
          74.0       1.5
          75.0       1.5
          76.0       2.0
          77.0       7.4
          78.0       6.8
          79.0       4.6
          80.0      11.6
          81.0       4.6
          82.0      12.1
          83.0       2.4
          89.0       1.7
          91.0       7.0
         102.0       1.5
         105.0       1.3
         107.0      20.9
         108.0      57.2
         109.0       7.3
         115.0       9.2
         116.0       4.1
         117.0       7.5
         118.0       1.0
         120.0       2.2
         121.0       1.0
         122.0       1.7
         126.0       1.0
         128.0       2.2
         131.0       2.9
         133.0       7.1
         134.0       1.1
         135.0       1.1
         139.0       2.1
         141.0       2.2
         147.0       1.2
         151.0       1.4
         152.0      11.4
         153.0       3.4
         154.0       4.2
         157.0       5.3
         165.0       1.9
         170.0       3.4
         178.0       1.5
         181.0       1.9
         182.0       1.1
         183.0      85.5
         184.0      20.2
         185.0      18.4
         186.0       3.6
         187.0       1.2
         200.0       1.3
         225.0       4.8
         226.0       8.6
         227.0       1.7
         228.0       1.1
         230.0       1.2
         257.0       1.3
         259.0       2.6
         260.0       2.4
         261.0      17.6
         262.0     100.0
         263.0      19.4
         264.0       2.0
         301.0       4.2
         302.0       5.2
         303.0       5.0
         304.0       1.2
         338.0       2.7
    

400 MHz in CDCl3


  • 1H NMR 399.65 MHz
    C21 H20 Br P 0.041 g : 0.5 ml CDCl3
    cyclopropyltriphenylphosphonium bromide
    ChemicalStructure
        Assign.     Shift(ppm)
    A 7.84 B 7.82 C 7.726 D 3.284 E 1.818 F 0.634

         Hz     ppm     Int.
    

       3141.11   7.860     94
       3139.89   7.857    208
       3139.28   7.856    185
       3138.55   7.854    219
       3137.94   7.852    256
       3136.47   7.849    229
       3135.50   7.846    496
       3134.16   7.843    662
       3132.57   7.839    893
       3130.49   7.834    602
       3129.15   7.830    411
       3128.54   7.829    402
       3126.22   7.823   1000
       3125.24   7.820    900
       3123.05   7.815    689
       3121.70   7.812    793
       3116.70   7.799    236
       3114.50   7.794    895
       3113.04   7.790    715
       3097.29   7.751    649
       3093.75   7.742    713
       3090.70   7.734    574
       3089.97   7.732    636
       3086.91   7.725    607
       3086.30   7.723    707
       3085.45   7.721    640
       3083.74   7.717    238
       3082.03   7.712    352
       3081.30   7.710    262
       3080.08   7.707    187
       3078.49   7.703    319
       3077.76   7.702    231
       1325.44   3.317     46
       1322.63   3.310     63
       1319.70   3.303     35
       1316.89   3.296    133
       1314.09   3.289     74
       1311.16   3.281     77
       1308.35   3.274    135
       1305.54   3.267     35
       1302.49   3.260     69
       1299.68   3.253     50
        742.19   1.858     38
        741.82   1.857     38
        736.94   1.844    127
        735.35   1.840    131
        732.54   1.833     74
        731.81   1.832     67
        726.81   1.819    252
        725.59   1.816    183
        722.17   1.808     67
        721.31   1.805     72
        720.83   1.804     73
        718.38   1.798    124
        716.80   1.794    135
        711.43   1.781     40
        270.39   0.677     47
        265.50   0.665    146
        264.16   0.661    156
        259.64   0.650    148
        258.30   0.647    150
        253.54   0.635     86
        248.66   0.623    144
        247.31   0.619    160
        242.92   0.608    143
        241.46   0.605    150
        236.69   0.593     39
    

in CDCl3



KBr disc



nujol mull



4880 A,200 M,powder