-
MS-IW-9127 trans,trans-2,4-hexadienal C6H8O (Mass of molecular ion: 96)
Source Temperature: 200 °C Sample Temperature: 150 °C Reservoir, 75 eV
15.0 1.0 26.0 2.5 27.0 12.9 28.0 4.0 29.0 6.7 31.0 3.7 32.0 1.0 37.0 2.7 38.0 5.8 39.0 38.7 40.0 11.2 41.0 40.9 42.0 7.4 43.0 4.4 45.0 2.8 50.0 3.8 51.0 5.6 52.0 2.7 53.0 30.9 54.0 3.4 55.0 4.9 61.0 1.6 62.0 2.6 63.0 3.7 65.0 11.5 66.0 5.1 67.0 33.2 68.0 7.6 69.0 3.6 70.0 1.0 71.0 4.8 77.0 3.8 78.0 1.1 79.0 2.0 81.0 100.0 82.0 5.8 95.0 15.4 96.0 44.5 97.0 4.1 99.0 2.3 127.0 1.4
400 MHz in CDCl3
-
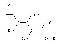
1H NMR 399.65 MHz C6 H8 O 0.05 ml : 0.5 ml CDCl3 trans,trans-2,4-hexadienal 
Assign. Shift(ppm)
A 9.533 B 7.097 C 6.33 D 6.063 E 1.912
Hz ppm Int.3814.24 9.544 723 3806.15 9.524 727 2849.73 7.131 164 2848.66 7.128 95 2846.53 7.123 31 2842.25 7.112 80 2840.42 7.108 191 2834.47 7.093 192 2831.73 7.086 33 2829.44 7.080 35 2826.69 7.073 90 2825.01 7.069 211 2551.42 6.385 77 2542.42 6.362 54 2536.16 6.346 311 2533.57 6.340 111 2529.60 6.330 211 2527.47 6.325 528 2526.70 6.323 446 2521.82 6.311 336 2519.38 6.304 52 2518.46 6.302 53 2515.87 6.296 106 2513.28 6.289 47 2506.71 6.273 93 2500.92 6.258 35 2500.46 6.257 36 2432.86 6.088 195 2432.40 6.087 194 2424.77 6.068 183 2424.32 6.067 185 2417.14 6.049 200 2409.06 6.028 197 766.91 1.919 967 763.70 1.911 284 761.57 1.906 1000
更多供应商





