-
MS-NW-7437 2-methyl-4,5-diphenyloxazole C16H13NO (Mass of molecular ion: 235)
Source Temperature: 160 °C Sample Temperature: 120 °C Direct, 75 eV
18.0 1.4 27.0 3.5 38.0 1.0 39.0 7.6 43.0 4.1 50.0 4.7 51.0 16.5 52.0 1.8 62.0 3.5 63.0 10.9 64.0 1.3 69.5 1.4 74.0 1.7 75.0 2.1 76.0 3.3 77.0 31.1 78.0 5.6 81.5 1.1 82.0 1.8 82.5 2.7 83.0 1.9 86.0 1.0 87.0 1.6 88.0 1.8 89.0 8.4 90.0 1.2 102.0 1.4 103.0 7.6 104.0 36.1 105.0 21.2 106.0 1.9 115.0 3.1 117.5 3.3 128.0 1.5 129.0 1.2 130.0 2.2 132.0 1.7 139.0 4.5 158.0 1.1 163.0 5.0 164.0 7.5 165.0 84.1 166.0 33.4 167.0 4.1 192.0 1.2 193.0 1.6 206.0 23.1 207.0 34.0 208.0 5.7 234.0 5.5 235.0 100.0 236.0 17.7 237.0 1.7
400 MHz in CDCl3
-
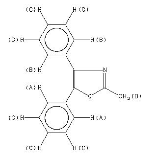
1H NMR 399.65 MHz C16 H13 N O 0.05 ml : 0.5 ml CDCl3 2-methyl-4,5-diphenyloxazole 
Assign. Shift(ppm)
A 7.636 B 7.562 C 7.34 to 7.28 D 2.512
Hz ppm Int.3057.13 7.650 153 3055.66 7.646 197 3053.47 7.641 63 3050.42 7.633 107 3048.83 7.629 215 3047.49 7.626 184 3045.17 7.620 34 3027.47 7.576 157 3025.88 7.572 172 3023.68 7.566 63 3020.75 7.559 98 3019.17 7.555 198 3017.70 7.551 185 3015.26 7.545 34 2941.16 7.360 62 2939.45 7.356 90 2937.74 7.351 48 2933.35 7.340 161 2932.62 7.338 228 2931.03 7.334 151 2929.32 7.330 82 2928.83 7.329 95 2926.64 7.324 107 2925.17 7.320 181 2924.56 7.318 170 2922.97 7.314 167 2922.24 7.312 231 2920.78 7.309 114 2919.92 7.307 142 2918.33 7.303 151 2916.38 7.298 123 2914.92 7.294 179 2914.31 7.293 170 2912.72 7.289 112 2911.13 7.285 242 2909.55 7.281 106 2908.08 7.277 49 2906.98 7.274 56 2903.93 7.267 123 2900.39 7.258 30 2896.85 7.249 32 1004.03 2.513 1000 999.88 2.502 37
更多供应商




