-
MS-NW-7899 3,4-(methylenedioxy)aniline C7H7NO2 (Mass of molecular ion: 137)
Source Temperature: 100 °C Sample Temperature: 60 °C Direct, 75 eV
17.0 2.5 18.0 11.7 26.0 1.0 27.0 1.5 28.0 3.5 29.0 1.2 33.5 1.8 38.0 1.6 39.0 2.6 39.5 1.0 40.0 1.3 41.0 2.4 50.0 2.6 51.0 6.7 52.0 24.7 53.0 7.9 54.0 1.6 62.0 1.2 63.0 1.3 65.0 1.0 67.0 1.0 68.0 5.7 68.5 7.6 78.0 6.0 79.0 46.0 80.0 8.7 81.0 2.3 91.0 1.3 106.0 3.6 107.0 6.1 108.0 6.7 109.0 2.4 135.0 1.6 136.0 25.6 137.0 100.0 138.0 8.5 150.0 1.5 165.0 1.0
parameter in CDCl3
90 MHz in CDCl3
-
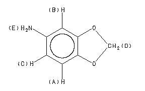
1H NMR 300 MHz C7 H7 N O2 0.045 g : 0.5 ml CDCl3 3,4-(methylenedioxy)aniline 
Parameter ppm Hz
D(A) 6.595 D(B) 6.265 D(C) 6.109 J(A,B) 0.44 J(A,C) 8.12 J(B,C) 2.31 D(D) 5.831 D(E) 3.54
Hz ppm Int.1982.58 6.609 217 1974.47 6.582 242 1880.64 6.269 233 1878.51 6.262 249 1837.78 6.126 179 1835.48 6.118 162 1829.67 6.099 159 1827.37 6.091 146 1749.29 5.831 1000 1061.99 3.540 78
-
1H NMR 89.56 MHz C7 H7 N O2 0.045 g : 0.5 ml CDCl3 3,4-(methylenedioxy)aniline 
Assign. Shift(ppm)
A 6.595 B 6.265 C 6.109 D 5.831 E 3.5 J(A,B)=0.4HZ J(A,C)=8.1HZ J(B,C)=2.3HZ
Hz ppm Int.595.63 6.651 124 595.19 6.646 116 587.50 6.560 169 587.06 6.555 156 562.63 6.283 115 562.19 6.278 117 560.31 6.257 167 559.94 6.253 139 551.63 6.160 144 549.31 6.134 101 543.50 6.069 102 541.19 6.043 79 522.31 5.832 1000 317.38 3.544 45
更多供应商






