图谱信息 供应商 相关产品
网站主页CAS数据库列表 14290-86-9更多图谱氟肉桂酸(14290-86-9)红外图谱(IR2)

氟肉桂酸

产品名称 氟肉桂酸

CAS号14290-86-9

分子式C9H7FO2

分子量166.15

展开


  • Mass

    MS-NW-8183          
    trans-4-fluorocinnamic acid
    C9H7FO2             (Mass of molecular ion:    166)
    

       Source Temperature: 160 °C
       Sample Temperature:  90 °C
       Direct, 75 eV
    

          17.0       1.5
          18.0       7.9
          28.0       4.0
          39.0       1.7
          45.0       2.4
          50.0       4.2
          50.5       1.3
          51.0       5.7
          55.0       1.0
          57.0       2.2
          60.0       3.4
          60.5       2.0
          61.0       1.0
          62.0       1.4
          63.0       2.7
          68.0       1.3
          69.0       4.3
          70.0       3.1
          71.0       1.0
          73.0       1.0
          74.0       4.1
          74.5       1.4
          75.0      16.5
          76.0       1.7
          81.0       1.4
          83.0       3.8
          93.0       1.2
          94.0       4.3
          95.0       9.3
          96.0       4.0
          97.0       2.6
          98.0       1.0
          99.0       1.8
         100.0       1.7
         101.0      37.6
         102.0       3.6
         109.0      16.2
         110.0       2.1
         119.0       1.0
         120.0      24.0
         121.0      37.0
         122.0       3.5
         123.0       2.4
         125.0       3.9
         137.0       2.4
         138.0       7.2
         147.0       1.7
         148.0       5.9
         149.0      37.0
         150.0       3.7
         165.0      46.1
         166.0     100.0
         167.0      10.1
    

400 MHz in DMSO-d6


  • 1H NMR 399.65 MHz
    C9 H7 F O2 0.051 g : 0.5 ml DMSO-d6
    trans-4-fluorocinnamic acid
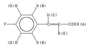
    ChemicalStructure
        Assign.     Shift(ppm)
    A 12.5 B 7.787 C 7.640 D 7.266 E 6.536

         Hz     ppm     Int.
    

       4976.56  12.453     78
       3122.31   7.813     77
       3119.38   7.806    478
       3117.43   7.801    228
       3113.77   7.792    526
       3110.60   7.784    548
       3107.18   7.775    216
       3104.98   7.770    489
       3102.29   7.763     79
       3061.52   7.661    545
       3045.65   7.621    581
       2915.77   7.296     76
       2912.84   7.289    537
       2910.64   7.283    215
       2906.01   7.272    223
       2903.81   7.266   1000
       2896.97   7.249    175
       2895.02   7.244    510
       2892.09   7.237     73
       2619.87   6.556    663
       2603.76   6.516    603
    

in CDCl3



KBr disc



nujol mull



4880 A,200 M,powder