图谱信息 供应商 相关产品
网站主页CAS数据库列表 1431-39-6更多图谱丹酰胺(1431-39-6)红外图谱(IR1)

丹酰胺

产品名称 丹酰胺

CAS号1431-39-6

分子式C12H14N2O2S

分子量250.32

展开


  • Mass

    MS-NW-2450          
    5-dimethylamino-1-naphthalenesulfonamide
    C12H14N2O2S         (Mass of molecular ion:    250)
    

       Source Temperature: 220 °C
       Sample Temperature: 140 °C
       Direct, 75 eV
    

          15.0       2.8
          17.0       1.0
          18.0       4.8
          28.0       3.0
          30.0       1.0
          39.0       2.5
          42.0       9.5
          44.0       6.1
          50.0       2.5
          51.0       4.2
          52.0       1.1
          55.0       1.0
          62.0       2.1
          63.0       8.0
          63.5       1.4
          64.0       4.8
          65.0       1.1
          70.0       1.4
          70.5       1.3
          71.5       2.5
          72.0       1.7
          74.0       4.0
          75.0       5.3
          76.0       4.1
          76.5       1.3
          77.0       7.4
          77.5       2.2
          78.0       1.4
          83.5       6.0
          84.0       2.4
          84.5       4.3
          85.0       3.6
          86.0       1.5
          87.0       2.8
          88.0       2.0
          89.0       2.3
          92.0       1.4
          98.0       1.2
          99.0       1.9
         100.0       1.8
         101.0       3.4
         102.0       2.6
         103.0       2.1
         113.0       3.5
         114.0       4.1
         115.0      11.7
         116.0       3.6
         117.0       1.9
         125.0       3.6
         126.0      10.9
         127.0      25.2
         128.0      10.4
         129.0       4.8
         130.0       7.7
         131.0       4.6
         139.0       2.0
         140.0       4.5
         141.0       3.3
         142.0       4.8
         143.0      14.4
         144.0       5.7
         145.0       1.0
         152.0       1.6
         153.0       4.9
         154.0      29.3
         155.0      14.7
         156.0       3.1
         157.0       2.0
         158.0       2.7
         159.0       1.9
         160.0       1.0
         166.0       1.0
         167.0       6.9
         168.0      82.6
         169.0      47.3
         170.0      21.7
         171.0      29.3
         172.0       3.9
         174.0       2.6
         183.0       1.3
         184.0       5.3
         185.0      14.3
         186.0       4.8
         203.0       1.2
         207.0       2.2
         249.0      14.7
         250.0     100.0
         251.0      15.1
         252.0       5.8
    

400 MHz in DMSO-d6


  • 1H NMR 399.65 MHz
    C12 H14 N2 O2 S 0.039 g : 0.5 ml DMSO-d6
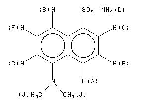
    5-dimethylamino-1-naphthalenesulfonamide
    ChemicalStructure
        Assign.     Shift(ppm)
    A 8.428 B 8.320 C 8.152 D 7.63 E 7.617 F 7.590 G 7.242 J 2.813 ASSIGNED BY H-H AND C-H COSY.

         Hz     ppm     Int.
    

       3373.05   8.441     63
       3364.62   8.419     68
       3329.59   8.332     71
       3320.92   8.310     77
       3262.33   8.163     67
       3261.23   8.161     73
       3255.13   8.145     78
       3253.91   8.142     77
       3051.15   7.635    194
       3045.04   7.620     80
       3043.82   7.617     82
       3041.63   7.611     68
       3036.50   7.598     68
       3034.06   7.592     76
       3032.96   7.590     71
       3025.39   7.571     64
       2897.58   7.251     78
       2890.63   7.233     67
       2890.01   7.232     68
       1124.27   2.814   1000
    

in DMSO-d6



KBr disc



nujol mull