-
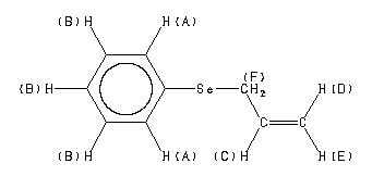
MS-IW-9736 (allylseleno)benzene C9H10Se (Mass of molecular ion: 198)
Source Temperature: 220 °C Sample Temperature: 150 °C Reservoir, 75 eV
15.0 1.1 27.0 2.5 37.0 1.5 38.0 3.3 39.0 38.5 40.0 2.5 41.0 100.0 42.0 3.5 50.0 11.7 51.0 23.9 52.0 2.4 63.0 3.5 65.0 10.4 74.0 4.3 75.0 4.8 76.0 5.6 77.0 45.5 78.0 25.0 79.0 1.9 80.0 1.2 89.0 1.8 90.0 1.0 91.0 26.3 92.0 2.2 93.0 5.4 95.0 1.2 102.0 1.2 103.0 2.2 104.0 41.3 105.0 6.5 106.0 1.6 107.0 3.2 113.0 1.7 114.0 1.6 115.0 15.7 116.0 7.0 117.0 77.0 118.0 12.0 119.0 3.1 120.0 2.1 121.0 1.3 127.0 1.1 128.0 1.2 129.0 2.0 130.0 1.9 131.0 2.0 151.0 1.2 152.0 1.0 153.0 12.0 154.0 12.7 155.0 30.0 156.0 8.3 157.0 59.3 158.0 10.4 159.0 11.0 160.0 1.8 167.0 1.2 168.0 1.8 169.0 1.5 170.0 3.5 179.0 2.2 180.0 2.3 181.0 5.5 182.0 1.4 183.0 10.9 184.0 1.2 185.0 2.0 192.0 1.6 194.0 14.8 195.0 14.8 196.0 38.2 197.0 6.1 198.0 77.3 199.0 8.3 200.0 13.9 201.0 1.3
400 MHz in CDCl3
-
1H NMR 399.65 MHz C9 H10 Se 61 mg : 0.5 ml CDCl3 (allylseleno)benzene 
Assign. Shift(ppm)
A 7.49 B 7.24 C 5.938 D 4.96 E 4.93 F 3.511
Hz ppm Int.3000.24 7.508 126 2999.63 7.506 128 2998.29 7.503 527 2996.22 7.498 286 2995.12 7.495 359 2994.63 7.494 315 2993.65 7.491 376 2992.19 7.488 217 2990.60 7.484 578 2988.77 7.479 531 2908.33 7.278 98 2907.96 7.277 95 2906.62 7.273 88 2903.44 7.265 229 2901.86 7.262 170 2900.63 7.258 190 2898.93 7.254 630 2896.85 7.249 591 2893.80 7.241 1000 2891.97 7.237 987 2890.50 7.233 235 2889.16 7.230 204 2887.82 7.226 110 2394.41 5.992 102 2386.84 5.973 204 2384.52 5.967 110 2379.27 5.954 114 2377.56 5.950 146 2376.95 5.948 254 2370.00 5.931 242 2367.55 5.925 124 2362.43 5.912 118 2359.99 5.906 218 2352.54 5.887 111 1994.51 4.991 143 1993.04 4.987 311 1991.70 4.984 364 1990.48 4.981 171 1976.20 4.945 570 1974.85 4.942 567 1973.63 4.939 289 1966.92 4.922 166 1966.19 4.920 308 1965.45 4.918 304 1964.72 4.917 279 1408.08 3.524 490 1407.35 3.522 606 1406.86 3.521 709 1406.13 3.519 600 1400.51 3.505 491 1399.78 3.503 598 1399.29 3.502 676 1398.56 3.500 570



