图谱信息 供应商 相关产品
网站主页CAS数据库列表 1446-61-3更多图谱脱氢松香胺(1446-61-3)红外图谱(IR1)

脱氢松香胺

产品名称 脱氢松香胺

CAS号1446-61-3

分子式C20H31N

分子量285.47

展开


  • Mass

    MS-NW-9046          
    7-isopropyl-1,4a-dimethyl-1,2,3,4,4a,9,10,10a-octahydro-1-phenanthrenemethylamine
    C20H31N             (Mass of molecular ion:    285)
    

       Source Temperature: 210 °C
       Sample Temperature: 100 °C
       Direct, 75 eV
    

          27.0       1.2
          29.0       1.8
          30.0      29.9
          31.0       1.7
          32.0       7.7
          39.0       1.1
          41.0       8.9
          43.0      11.7
          44.0       1.8
          53.0       1.8
          55.0      11.5
          56.0       1.5
          57.0       2.0
          65.0       1.2
          67.0       4.1
          69.0       6.2
          70.0       2.6
          77.0       2.9
          79.0       4.0
          81.0       6.6
          82.0       1.0
          83.0       5.7
          84.0       1.0
          91.0       8.2
          92.0       1.2
          93.0       4.0
          94.0       1.0
          95.0       5.6
          96.0       2.2
          97.0       3.3
         105.0       5.3
         106.0       1.1
         107.0       4.2
         108.0       2.1
         109.0       5.6
         111.0       1.5
         115.0       5.0
         116.0       1.7
         117.0       8.0
         118.0       1.3
         119.0       3.9
         120.0       1.1
         121.0       3.6
         122.0       1.5
         123.0       2.9
         127.0       1.6
         128.0       6.4
         129.0       9.5
         130.0       2.0
         131.0      16.9
         132.0       2.3
         133.0       5.7
         134.0       2.0
         135.0       3.4
         136.0       1.0
         141.0       7.8
         142.0       4.2
         143.0      10.6
         144.0       2.0
         145.0       4.6
         146.0       1.5
         147.0       3.7
         148.0       1.2
         149.0       1.8
         152.0       1.9
         153.0       3.0
         154.0       2.5
         155.0       6.2
         156.0       2.2
         157.0       7.4
         158.0       2.8
         159.0      11.2
         160.0       2.5
         161.0       2.5
         162.0       1.2
         163.0       3.1
         165.0       2.7
         166.0       1.4
         167.0       3.0
         168.0       1.9
         169.0       5.8
         170.0       1.8
         171.0       4.6
         172.0      84.5
         173.0      94.2
         174.0      14.0
         175.0       2.4
         176.0      21.1
         177.0      14.3
         178.0       2.8
         179.0       1.5
         181.0       1.9
         182.0       1.2
         183.0       4.0
         184.0       1.7
         185.0      26.7
         186.0      10.5
         187.0       4.2
         188.0       1.2
         189.0       8.1
         190.0       2.5
         191.0       1.1
         195.0       2.2
         197.0       8.8
         198.0       2.5
         199.0       6.8
         200.0       2.6
         201.0       1.7
         203.0       1.7
         209.0       1.4
         210.0       1.2
         211.0       3.6
         212.0       4.5
         213.0       2.8
         215.0       1.6
         216.0       1.7
         219.0       1.3
         223.0       1.0
         225.0      13.2
         226.0       3.0
         229.0       2.2
         234.0       1.3
         237.0       2.7
         238.0       2.1
         239.0     100.0
         240.0      21.0
         241.0       3.9
         243.0      12.0
         244.0       2.7
         245.0       1.0
         251.0       1.3
         252.0       1.2
         253.0       8.7
         254.0       9.3
         255.0       5.4
         256.0       1.7
         257.0       4.8
         258.0       4.9
         259.0       4.6
         260.0       1.6
         266.0       2.2
         267.0       1.1
         268.0       5.9
         269.0       1.4
         270.0       1.9
         272.0       5.2
         273.0       1.2
         274.0       1.4
         285.0      36.9
         286.0       9.8
         287.0       2.6
         289.0       6.0
         290.0       1.7
    

400 MHz in CDCl3


  • 1H NMR 399.65 MHz
    C20 H31 N 0.077 g : 0.5 ml CDCl3
    7-isopropyl-1,4a-dimethyl-1,2,3,4,4a,9,10,10a-octahydro-1-phenanthrenemethylamine
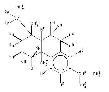
    ChemicalStructure
        Assign.     Shift(ppm)
    A 7.168 B 6.978 C 6.878 D 2.89 E 2.85 F 2.81 G *1 2.587 J *1 2.377 K 2.28 L 1.89 M 1.75 N 1.68 P 1.504 Q 1.38 R 1.31 to 1.24 S 1.215 T 1.211 U 0.873 ASSIGNED BY H-H AND C-H COSY.

         Hz     ppm     Int.
    

       2869.38   7.180     98
       2861.21   7.160    124
       2794.43   6.993     59
       2792.85   6.989     63
       2786.25   6.972     51
       2784.67   6.968     54
       2749.51   6.880    105
       2748.41   6.878    102
       1157.35   2.896     38
       1154.30   2.889     39
       1150.27   2.879     62
       1142.33   2.859     37
       1139.28   2.851     43
       1138.43   2.849     41
       1130.86   2.830     71
       1123.78   2.812     74
       1116.94   2.795     53
       1041.50   2.607     89
       1028.20   2.573    129
        956.05   2.393    122
        942.75   2.359     94
        915.65   2.292     42
        915.41   2.291     42
        913.21   2.286     39
        911.99   2.282     38
        911.50   2.281     38
        903.08   2.260     45
        902.47   2.259     45
        705.20   1.765     39
        703.98   1.762     40
        702.03   1.757     46
        700.68   1.754     53
        695.80   1.742     45
        692.14   1.732     65
        689.94   1.727     63
        686.28   1.718     78
        682.01   1.707     82
        674.80   1.689     61
        670.65   1.679     71
        666.26   1.668     47
        663.94   1.662     47
        661.13   1.655     34
        659.67   1.651     36
        657.47   1.646     40
        656.25   1.643     45
        634.77   1.589     34
        634.16   1.587     34
        608.03   1.522     80
        604.49   1.513     66
        596.92   1.494     65
        593.26   1.485     58
        563.72   1.411     42
        559.45   1.400     35
        553.47   1.385     35
        550.54   1.378     53
        546.51   1.368     67
        537.35   1.345     42
        533.94   1.337     50
        532.10   1.332     46
        531.25   1.330     44
        528.08   1.322     64
        525.02   1.314    102
        521.73   1.306     87
        513.18   1.285     53
        509.28   1.275     57
        502.20   1.257     58
        500.85   1.254     64
        496.83   1.244     73
        495.85   1.241     75
        489.14   1.224    959
        484.38   1.213    666
        483.89   1.211    680
        482.18   1.207   1000
        461.91   1.156     41
        458.86   1.149     35
        456.05   1.142     41
        400.76   1.003     39
        395.26   0.990     95
        392.09   0.982     34
        389.40   0.975     92
        383.18   0.959     34
        353.76   0.886     78
        349.12   0.874    657
        342.29   0.857     92
        338.62   0.848     47
        337.65   0.845     42
        336.18   0.842     42
        334.96   0.839     37
        329.35   0.825     34
        327.51   0.820     48
        326.29   0.817     41
        320.92   0.804    117
        317.99   0.796     63
        314.58   0.788    225
        307.01   0.769     55
        302.37   0.757     42
    

in CDCl3



liquid film