图谱信息 供应商 相关产品
网站主页CAS数据库列表 14470-28-1更多图谱4-甲氧基三苯基氯甲烷(14470-28-1)核磁图(1HNMR)

4-甲氧基三苯基氯甲烷

产品名称 4-甲氧基三苯基氯甲烷

CAS号14470-28-1

分子式C20H17ClO

分子量308.8

展开


  • Mass

    MS-NW-6218          
    chloro(p-methoxyphenyl)diphenylmethane
    C20H17ClO           (Mass of molecular ion:    308)
    

       Source Temperature: 170 °C
       Sample Temperature: 120 °C
       Direct, 75 eV
    

          15.0       1.2
          18.0       1.6
          36.0       1.3
          39.0       1.5
          50.0       1.3
          51.0       3.0
          63.0       1.8
          75.0       1.2
          76.0       1.4
          77.0       7.2
          78.0       1.1
          88.0       1.4
          89.0       1.0
          91.0       1.0
          94.5       1.1
         100.0       1.3
         101.0       3.8
         102.0       1.1
         105.0       9.0
         106.0       1.1
         107.0       1.0
         107.5       1.1
         108.0       1.1
         113.0       3.2
         113.5       1.0
         114.0       2.2
         115.0       2.2
         119.5       1.5
         120.0       1.3
         126.0       1.2
         128.0       1.3
         129.0       1.0
         135.0       4.9
         136.0       1.6
         136.5       2.0
         139.0       1.2
         151.0       1.7
         152.0       6.1
         153.0       3.2
         163.0       1.1
         165.0      12.9
         166.0       2.5
         180.0       2.0
         181.0       2.2
         185.0       1.7
         189.0       1.5
         195.0       8.7
         196.0       1.9
         197.0       2.9
         200.0       1.1
         201.0       1.2
         202.0       5.6
         203.0       2.6
         213.0      15.4
         214.0       2.8
         215.0       7.0
         216.0       1.5
         226.0       4.9
         227.0       3.8
         228.0       8.9
         229.0      12.4
         230.0       3.9
         239.0       2.4
         240.0       1.2
         241.0       4.2
         242.0       1.7
         243.0       1.5
         257.0       2.6
         258.0       8.7
         259.0       1.9
         271.0       2.3
         272.0       3.3
         273.0     100.0
         274.0      25.6
         275.0       3.7
         290.0       6.9
         291.0       1.6
    

90 MHz in CDCl3


  • 1H NMR 89.56 MHz
    C20 H17 Cl O 0.049 g : 0.5 ml CDCl3
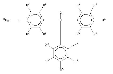
    chloro(p-methoxyphenyl)diphenylmethane
    ChemicalStructure
        Assign.     Shift(ppm)
    A 7.27 B 7.15 C 6.811 D 3.782

         Hz     ppm     Int.
    

        650.69   7.266   1000
        645.31   7.206     39
        644.63   7.198     78
        642.31   7.172     27
        637.81   7.122     31
        635.44   7.096    118
        613.19   6.847    116
        610.81   6.821     27
        604.06   6.745     59
        338.69   3.782    448
    

in CDCl3



KBr disc



nujol mull