
3-氯肉桂酸
产品名称
3-氯肉桂酸
CAS号14473-90-6
分子式C9H7ClO2
分子量182.6
InChIInChI=1S/C9H7ClO2/c10-8-3-1-2-7(6-8)4-5-9(11)12/h1-6H,(H,11,12)/b5-4+
InChIKeyFFKGOJWPSXRALK-SNAWJCMRSA-N
SmilesC(O)(=O)/C=C/C1=CC=CC(Cl)=C1
展开
收起
-
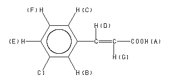
Assign. Shift(ppm)
A 12.6
B 7.821
C 7.681
D 7.601
E 7.47
F 7.45
G 6.647
Spectral Code: 1H NMR : 400 MHz in DMSO-d6
-
ppm Int. Assign.
167.28 790 1
142.23 892 2
136.51 951 3
133.74 758 4
130.57 1000 5 *
129.73 747 6 *
127.73 989 7
126.67 967 8
120.96 989 9
Spectral Code: 13C NMR : in DMSO-d6
-
Spectral Code: IR : nujol mull
3-氯肉桂酸(14473-90-6)红外图谱(IR1) 相关产品图谱