图谱信息 供应商 相关产品
网站主页CAS数据库列表 145-13-1更多图谱孕烯醇酮(145-13-1)红外图谱(IR1)

孕烯醇酮

产品名称 孕烯醇酮

CAS号145-13-1

分子式C21H32O2

分子量316.48

展开


  • Mass

    MS-NW-2172          
    3beta-hydroxy-5-pregnen-20-one
    C21H32O2            (Mass of molecular ion:    316)
    

       Source Temperature: 230 °C
       Sample Temperature: 140 °C
       Direct, 75 eV
    

          15.0       1.8
          17.0       2.4
          18.0      12.2
          27.0       4.8
          28.0       6.3
          29.0       7.7
          39.0       6.5
          40.0       1.3
          41.0      22.2
          42.0       1.1
          43.0     100.0
          44.0       2.5
          45.0       2.0
          51.0       1.9
          52.0       1.0
          53.0       8.3
          54.0       1.0
          55.0      19.3
          56.0       1.1
          57.0       3.3
          65.0       5.1
          66.0       1.6
          67.0      19.5
          68.0       2.4
          69.0       5.6
          71.0      13.0
          77.0      13.2
          78.0       4.1
          79.0      24.8
          80.0       3.9
          81.0      23.8
          82.0       2.5
          83.0       4.3
          84.0       5.0
          85.0      38.8
          86.0       2.5
          91.0      31.5
          92.0       8.1
          93.0      25.1
          94.0       6.6
          95.0      21.6
          96.0       2.7
          97.0       3.2
          99.0       1.3
         103.0       2.5
         104.0       2.5
         105.0      31.0
         106.0      11.2
         107.0      37.5
         108.0      10.0
         109.0      11.5
         110.0       1.7
         111.0       2.9
         113.0       1.0
         115.0       4.6
         116.0       2.4
         117.0      11.0
         118.0       5.7
         119.0      20.1
         120.0      18.4
         121.0      29.1
         122.0       6.3
         123.0       4.5
         124.0       4.8
         125.0       7.8
         127.0       1.1
         128.0       4.1
         129.0       6.7
         130.0       3.3
         131.0      16.6
         132.0       5.9
         133.0      20.6
         134.0       6.3
         135.0       9.8
         136.0       2.4
         137.0       5.4
         138.0       2.8
         139.0       1.2
         141.0       3.5
         142.0       2.3
         143.0      12.9
         144.0       5.4
         145.0      30.1
         146.0       9.2
         147.0      23.1
         148.0       6.3
         149.0       6.4
         150.0       1.4
         151.0       2.6
         152.0       1.0
         155.0       2.8
         156.0       1.7
         157.0       9.1
         158.0       8.2
         159.0      24.8
         160.0      11.3
         161.0      24.6
         162.0       4.5
         163.0       6.5
         164.0       1.3
         165.0       1.6
         169.0       3.5
         170.0       1.6
         171.0       7.6
         172.0       3.7
         173.0      11.3
         174.0       3.6
         175.0       5.0
         176.0       2.8
         177.0       7.8
         178.0       2.7
         179.0       1.8
         181.0       1.1
         183.0       4.4
         184.0       1.5
         185.0       7.4
         186.0       2.4
         187.0      15.3
         188.0       3.0
         189.0       5.7
         190.0       3.0
         191.0       3.6
         192.0       2.6
         193.0       1.3
         195.0       1.9
         197.0       3.2
         198.0       1.5
         199.0       6.2
         200.0       2.2
         201.0       3.7
         202.0       1.3
         203.0       1.9
         204.0       7.2
         205.0      23.0
         206.0       4.4
         207.0       1.5
         209.0       3.7
         210.0       1.0
         211.0       3.8
         212.0       2.0
         213.0      26.1
         214.0       6.4
         215.0       4.6
         216.0       2.0
         217.0       2.4
         218.0       1.5
         223.0       1.5
         225.0       3.7
         226.0       1.3
         227.0       6.0
         228.0       5.8
         229.0       4.8
         230.0       3.9
         231.0      32.3
         232.0       7.0
         233.0       1.1
         239.0       4.2
         240.0       3.4
         241.0       6.0
         242.0       1.6
         243.0       3.2
         244.0       4.2
         245.0       2.2
         246.0       2.6
         253.0       3.1
         254.0       1.4
         255.0      16.3
         256.0       9.1
         257.0       5.5
         258.0       3.4
         259.0       3.4
         265.0       7.7
         266.0       2.0
         269.0       2.3
         270.0       2.4
         271.0       1.2
         272.0       2.7
         273.0       4.4
         274.0       1.2
         280.0       2.5
         281.0       1.3
         282.0       1.1
         283.0      39.2
         284.0       8.8
         285.0       1.4
         296.0       1.5
         297.0       1.0
         298.0      91.6
         299.0      20.8
         300.0       3.4
         301.0      11.6
         302.0       2.8
         314.0       1.2
         316.0      69.0
         317.0      15.7
         318.0       2.1
    

400 MHz in CDCl3


  • 1H NMR 399.65 MHz
    C21 H32 O2 0.049 g : 0.5 ml CDCl3
    3beta-hydroxy-5-pregnen-20-one
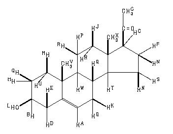
    ChemicalStructure
        Assign.     Shift(ppm)
    A 5.350 B 3.529 C 2.538 D 2.31 E 2.24 F *1 2.18 G 2.128 J 2.05 K 2.00 L 2.24 M 1.86 N *1 1.70 to 1.63 P 1.64 Q 1.58 to 1.51 R 1.48 to 1.45 S *1 1.21 T 1.15 U 1.10 V 1.009 W 1.00 X 0.630 ASSIGNED BY H-H AND C-H COSY.

         Hz     ppm     Int.
    

       2140.87   5.357     59
       2138.79   5.352     43
       2137.57   5.349     42
       2135.50   5.344     56
       2133.79   5.340     31
       1409.18   3.527     35
       1022.95   2.560     37
       1014.04   2.538     76
       1005.13   2.516     33
        919.43   2.301     42
        917.85   2.297     44
        914.55   2.289     44
        912.35   2.283     42
        907.23   2.271     32
        905.03   2.265     30
        896.00   2.242     33
        894.04   2.238     37
        877.69   2.197     42
        875.61   2.191     40
        866.46   2.169     46
        865.11   2.165     35
        861.82   2.157     31
        855.59   2.141     38
        850.71   2.129   1000
        826.05   2.067     55
        823.24   2.060     40
        817.63   2.046     38
        815.06   2.040     47
        813.23   2.035     33
        812.74   2.034     32
        811.28   2.030     33
        810.30   2.028     35
        807.62   2.021     31
        797.97   1.997     39
        797.61   1.996     39
        793.95   1.987    165
        749.76   1.877     51
        746.70   1.869     67
        737.18   1.845     68
        735.84   1.842     69
        732.30   1.833     46
        675.54   1.691     34
        672.85   1.684     57
        671.51   1.681     57
        667.11   1.670     38
        664.79   1.664     56
        663.45   1.661     51
        662.72   1.659     49
        657.84   1.647     47
        654.54   1.638     41
        652.47   1.633     32
        650.02   1.627     32
        648.32   1.623     50
        646.73   1.619     58
        644.04   1.612     39
        642.82   1.609     40
        639.04   1.599     30
        631.35   1.580     38
        628.30   1.573     30
        616.46   1.543     33
        614.50   1.538     58
        612.06   1.532     63
        610.11   1.527     49
        607.18   1.520     39
        601.93   1.507     67
        598.27   1.497     79
        596.44   1.493     51
        592.16   1.482     46
        587.89   1.472    126
        583.74   1.461     48
        580.08   1.452     45
        578.25   1.447     59
        500.73   1.253     54
        484.38   1.213     38
        474.37   1.187     30
        468.38   1.172     36
        464.60   1.163     30
        452.03   1.132     34
        449.10   1.124     30
        439.70   1.101     40
        435.79   1.091     34
        409.67   1.026     32
        403.56   1.010    633
        399.78   1.001     37
        398.19   0.997     35
        394.17   0.987     37
        393.55   0.985     37
        252.32   0.632    662
    

in CDCl3



KBr disc



nujol mull



4880 A,200 M,powder