图谱信息 供应商 相关产品
网站主页CAS数据库列表 1453-97-0更多图谱5-苄氧基芦竹碱(1453-97-0)红外图谱(IR2)

5-苄氧基芦竹碱

产品名称 5-苄氧基芦竹碱

CAS号1453-97-0

分子式C18H20N2O

分子量280.36

展开


  • Mass

    MS-NW-7128          
    5-benzyloxy-3-(dimethylaminomethyl)indole
    C18H20N2O           (Mass of molecular ion:    280)
    

       Source Temperature: 210 °C
       Sample Temperature: 120 °C
       Direct, 75 eV
    

          18.0       1.6
          28.0       3.3
          39.0       3.6
          41.0       1.1
          42.0       2.3
          43.0       1.3
          44.0      10.5
          45.0       5.8
          51.0       1.5
          58.0       2.6
          62.0       1.3
          63.0       3.3
          65.0       9.5
          89.0       5.1
          90.0       1.7
          91.0     100.0
          92.0       7.7
         116.0       1.6
         117.0       3.7
         118.0       3.5
         145.0       6.0
         146.0      12.5
         147.0       1.6
         235.0      10.5
         236.0       9.0
         237.0       2.1
         280.0       2.3
         281.0       1.0
    

400 MHz in DMSO-d6


  • 1H NMR 399.65 MHz
    C18 H20 N2 O 0.038 g : 0.5 ml DMSO-d6
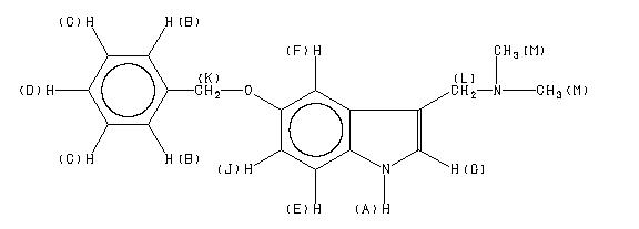
    5-benzyloxy-3-(dimethylaminomethyl)indole
    ChemicalStructure
        Assign.     Shift(ppm)
    A 10.8 B 7.470 C 7.375 D 7.309 E 7.254 F 7.185 G 7.162 J 6.813 K 5.067 L 3.485 M 2.130

         Hz     ppm     Int.
    

       4309.72  10.784     66
       4308.81  10.782     67
       4308.26  10.781     65
       2989.83   7.482    113
       2982.50   7.463    165
       2955.21   7.395     81
       2948.06   7.377    164
       2940.55   7.358     96
       2926.45   7.323     64
       2919.31   7.305     74
       2903.92   7.267    109
       2895.13   7.245    121
       2872.78   7.189    114
       2870.77   7.184    116
       2863.63   7.166    111
       2861.43   7.160    107
       2728.45   6.828     68
       2726.07   6.822     65
       2719.66   6.806     62
       2717.27   6.800     60
       2025.09   5.068    326
       1392.98   3.486    293
        851.36   2.131   1000
    

DMSO-d6



KBr disc



nujol mull