图谱信息 供应商 相关产品
网站主页CAS数据库列表 1457-47-2更多图谱3-丙烯基洛丹宁(1457-47-2)质谱(MS)

3-丙烯基洛丹宁

产品名称 3-丙烯基洛丹宁

CAS号1457-47-2

分子式C6H7NOS2

分子量173.26

展开


  • Mass

    MS2015-05283CW      
    3-allyl-2-thioxo-4-thiazolidinone
    C6H7NOS2            (Mass of molecular ion:    173)
    

       Source Temperature: 240 °C
       Sample Temperature:  25 °C
       Direct, 70 eV
    

          18.0       1.1
          27.0       1.3
          28.0       1.8
          38.0       1.4
          39.0      15.3
          40.0       1.7
          41.0      23.5
          42.0       3.5
          45.0       8.0
          46.0       9.5
          47.0       1.5
          54.0       2.7
          55.0       5.8
          58.0       1.4
          59.0       5.6
          60.0       1.9
          64.0       2.2
          67.0       2.7
          68.0       1.8
          70.0       1.2
          71.0       3.7
          72.0      18.2
          73.0       4.9
          74.0       2.1
          76.0       3.2
          77.0       2.3
          78.0       1.0
          81.0       1.4
          85.0       2.0
          86.0       6.5
          90.0       1.2
          98.0      50.6
          99.0      16.2
         100.0       6.6
         101.0       1.0
         103.0       1.0
         104.0       1.4
         130.0       7.5
         131.0      20.6
         132.0       2.2
         133.0       2.0
         144.0       1.3
         145.0      15.2
         146.0       1.3
         147.0       1.4
         158.0     100.0
         159.0       7.4
         160.0       9.2
         172.0       2.6
         173.0      67.9
         174.0       6.1
         175.0       6.4
    

400 MHz in CDCl3

in DMSO-d6


  • 1H NMR 399.65 MHz
    C6 H7 N O S2 0.038 g : 0.5 ml CDCl3
    3-allyl-2-thioxo-4-thiazolidinone
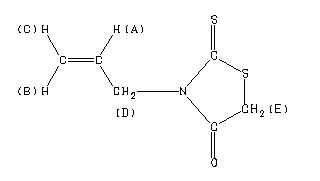
    ChemicalStructure
        Assign.     Shift(ppm)
    A 5.803 B 5.280 C 5.244 D 4.604 E 4.007

         Hz     ppm     Int.
    

       2339.72   5.855     31
       2333.74   5.840     62
       2329.59   5.830     35
       2327.88   5.825     36
       2323.61   5.815     79
       2322.63   5.812     45
       2317.63   5.800     40
       2316.65   5.797     86
       2312.38   5.787     41
       2310.79   5.783     40
       2306.40   5.772     79
       2300.54   5.757     42
       2120.97   5.308     46
       2119.51   5.304    104
       2118.29   5.301    111
       2116.82   5.297     52
       2103.76   5.265     43
       2102.29   5.261    109
       2101.93   5.260     90
       2101.20   5.258    135
       2100.71   5.257    178
       2099.61   5.254    149
       2098.39   5.251     51
       2091.67   5.234     45
       2090.58   5.232    111
       2089.36   5.228    116
       2088.13   5.225     44
       1844.24   4.615    153
       1842.90   4.612    219
       1841.43   4.608    152
       1839.84   4.604     30
       1838.26   4.600    152
       1836.91   4.597    212
       1835.57   4.593    148
       1604.49   4.015     32
       1601.56   4.008   1000
    



in DMSO-d6

in CDCl3





KBr disk



Nujol