图谱信息 供应商 相关产品
网站主页CAS数据库列表 1457-85-8更多图谱草酰苯胺乙酯(1457-85-8)红外图谱(IR2)

草酰苯胺乙酯

产品名称 草酰苯胺乙酯

CAS号1457-85-8

分子式C10H11NO3

分子量193.2

展开


  • Mass

    MS-NW-6617          
    ethyl oxanilate
    C10H11NO3           (Mass of molecular ion:    193)
    

       Source Temperature: 240 °C
       Sample Temperature: 190 °C
       Reservoir, 75 eV
    

          15.0       1.0
          18.0       1.7
          26.0       1.8
          27.0       9.6
          28.0       3.8
          29.0      42.4
          30.0       1.2
          31.0       1.7
          37.0       1.1
          38.0       2.6
          39.0       8.9
          40.0       1.5
          41.0       1.2
          44.0       3.2
          45.0       2.3
          50.0       3.6
          51.0      11.1
          52.0       2.2
          62.0       1.0
          63.0       3.3
          64.0       4.5
          65.0      14.2
          66.0       6.2
          76.0       3.1
          77.0      48.0
          78.0       4.2
          79.0       1.4
          91.0       5.5
          92.0      33.5
          93.0      22.1
          94.0       2.2
         103.0       4.3
         106.0       8.3
         107.0       1.0
         119.0      27.8
         120.0     100.0
         121.0      13.7
         122.0       1.1
         193.0      67.6
         194.0       8.3
         195.0       1.0
    

90 MHz in CDCl3


  • 1H NMR 89.56 MHz
    C10 H11 N O3 0.046 g : 0.5 ml CDCl3
    ethyl oxanilate
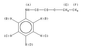
    ChemicalStructure
        Assign.     Shift(ppm)
    A 8.9 B 7.64 C 7.37 D 7.16 E 4.393 F 1.407 J(E,F)=7.1HZ.

         Hz     ppm     Int.
    

        690.44   7.710     94
        688.81   7.692    146
        686.63   7.667     45
        683.50   7.632     93
        681.63   7.611    218
        680.44   7.598    228
        668.25   7.462     66
        666.31   7.440     85
        664.31   7.418     38
        662.44   7.397     35
        659.75   7.367    233
        658.00   7.348     71
        657.13   7.338     45
        653.69   7.299     68
        652.06   7.281    142
        650.81   7.267    110
        649.63   7.254     99
        648.00   7.236    178
        646.44   7.218     89
        643.94   7.191     46
        641.00   7.158     92
        640.25   7.149     31
        634.00   7.080     34
        404.63   4.518    109
        397.31   4.437    421
        390.19   4.357    447
        383.19   4.279    132
        133.00   1.486    448
        125.94   1.407   1000
        118.75   1.326    395
    

in CDCl3



KBr disc



nujol mull