图谱信息 供应商 相关产品
网站主页CAS数据库列表 1459-93-4更多图谱间苯二甲酸二甲酯(1459-93-4)核磁图(1HNMR)

间苯二甲酸二甲酯

产品名称 间苯二甲酸二甲酯

CAS号1459-93-4

分子式C10H10O4

分子量194.18

展开


  • Mass

    MS-NW-1698          
    dimethyl isophthalate
    C10H10O4            (Mass of molecular ion:    194)
    

       Source Temperature: 240 °C
       Sample Temperature: 180 °C
       Reservoir, 75 eV
    

          15.0       6.7
          28.0       2.9
          29.0       1.8
          38.0       2.4
          39.0       2.2
          50.0      14.4
          51.0       3.1
          52.0       4.7
          59.0       2.4
          63.0       1.7
          64.0       1.6
          65.0       1.1
          66.0       5.7
          74.0       4.8
          75.0      10.9
          76.0      17.7
          77.0       9.2
          92.0       3.7
         103.0      11.1
         104.0       5.8
         105.0       1.4
         107.0       2.7
         119.0       5.4
         120.0       8.1
         135.0      28.2
         136.0       2.7
         149.0       2.0
         163.0     100.0
         164.0      10.3
         165.0       1.0
         193.0       2.1
         194.0      25.2
         195.0       2.8
    

90 MHz in CDCl3


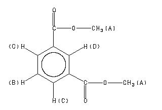
  • 1H NMR 89.56 MHz
    C10 H10 O4 0.036 g : 0.5 ml CDCl3
    dimethyl isophthalate
    ChemicalStructure
        Assign.     Shift(ppm)
    A 3.949 B 7.533 C 8.217 D 8.680

         Hz     ppm     Int.
    

        779.38   8.703     26
        778.88   8.697     25
        777.63   8.683     51
        777.06   8.677     46
        775.88   8.664     31
        775.31   8.657     25
        741.38   8.279     47
        740.88   8.273     47
        739.69   8.260     42
        739.06   8.253     41
        733.56   8.191     64
        731.75   8.171     64
        681.63   7.611     32
        681.06   7.605     28
        674.31   7.530     27
        673.75   7.523     32
        353.63   3.949   1000
    

in CDCl3



CCl4 solution



KBr disc



nujol mull



4880 A,200 M,powder