-
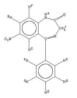
MS-IW-3438 7-nitro-5-phenyl-1,3-dihydro-1,4-benzodiazepin-2-one C15H11N3O3 (Mass of molecular ion: 281)
Source Temperature: 170 °C Sample Temperature: 170 °C Direct, 75 eV
17.0 1.6 18.0 7.9 27.0 1.9 28.0 5.0 30.0 1.6 38.0 1.7 39.0 5.9 41.0 1.1 50.0 5.3 51.0 16.2 52.0 5.5 53.0 1.4 61.0 1.0 62.0 4.8 63.0 13.4 64.0 3.4 65.0 4.9 69.5 1.9 74.0 4.5 75.0 9.6 75.5 4.3 76.0 20.2 76.5 2.9 77.0 28.1 78.0 6.2 80.0 1.1 81.0 1.0 81.5 2.2 82.0 2.4 82.5 2.7 83.5 2.2 86.0 2.0 87.0 3.1 88.0 3.2 88.5 2.2 89.0 13.3 89.5 5.3 90.0 9.3 90.5 1.0 91.0 10.2 92.0 1.5 95.5 4.4 96.0 1.2 97.0 1.0 98.0 1.8 99.0 2.0 100.0 1.8 101.0 2.5 102.0 7.8 102.5 3.9 103.0 19.4 103.5 7.2 104.0 9.2 105.0 1.7 108.0 1.2 108.5 3.4 111.0 1.5 113.0 2.8 114.0 2.1 115.0 3.2 116.0 5.3 117.0 5.2 117.5 4.6 118.0 2.4 125.0 1.8 126.0 5.2 126.5 1.1 127.0 3.9 128.0 2.8 129.0 2.7 130.0 2.8 132.0 1.6 138.0 1.2 139.0 3.9 140.0 3.3 141.0 1.2 144.0 1.3 149.0 1.7 150.0 5.4 151.0 13.2 152.0 12.8 153.0 4.8 154.0 1.4 163.0 3.3 164.0 3.9 165.0 3.6 166.0 3.6 167.0 3.9 168.0 1.4 175.0 1.4 176.0 2.7 177.0 8.7 178.0 13.2 179.0 19.9 180.0 6.8 181.0 1.2 190.0 2.9 191.0 2.6 192.0 3.6 193.0 4.1 194.0 5.0 195.0 2.4 203.0 1.2 204.0 2.5 205.0 33.2 206.0 61.2 207.0 25.8 208.0 5.0 209.0 1.0 220.0 1.0 221.0 1.9 222.0 5.5 223.0 2.3 224.0 1.0 225.0 4.9 233.0 2.7 234.0 63.8 235.0 14.8 236.0 5.1 237.0 1.8 250.0 1.0 251.0 2.2 252.0 51.7 253.0 95.1 254.0 45.0 255.0 6.7 264.0 33.7 265.0 6.3 280.0 100.0 281.0 92.1 282.0 15.5 283.0 1.8
400 MHz in DMSO-d6
-
1H NMR 399.65 MHz C15 H11 N3 O3 0.038 g : 0.5 ml DMSO-d6 7-nitro-5-phenyl-1,3-dihydro-1,4-benzodiazepin-2-one 
Assign. Shift(ppm)
A 11.19 B 8.429 C 8.031 D 7.54 E 7.54 F 7.48 G 7.47 J 4.263
Hz ppm Int.4473.27 11.193 453 3374.94 8.445 386 3372.19 8.438 394 3365.94 8.423 401 3363.19 8.416 441 3211.06 8.035 675 3208.31 8.028 664 3026.89 7.574 57 3025.51 7.571 118 3023.99 7.567 86 3020.78 7.559 88 3018.34 7.553 369 3017.43 7.551 476 3016.05 7.547 608 3010.41 7.533 504 3008.88 7.529 906 2992.25 7.488 1000 2989.50 7.481 203 2983.40 7.466 921 2978.52 7.453 121 2976.84 7.449 267 2975.92 7.447 183 1703.95 4.264 225
更多供应商





