-
ppm Int. Assign.
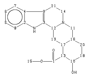
175.64 1000 1 136.01 800 2 134.53 940 3 127.41 680 4 121.36 820 5 119.39 660 6 118.15 680 7 110.75 760 8 108.25 840 9 67.00 740 10 61.34 620 11 59.86 640 12 52.87 640 13 52.38 760 14 51.97 780 15 40.72 620 16 36.70 720 17 34.34 540 18 31.51 560 19 23.31 500 20 21.74 500 21 ASSIGNED BY C-H COSY.Spectral Code: 13C NMR : in CDCl3
更多供应商



