图谱信息 供应商 相关产品
网站主页CAS数据库列表 1460-02-2更多图谱1,3,5-三叔丁基苯(1460-02-2)核磁图(1HNMR)

1,3,5-三叔丁基苯

产品名称 1,3,5-三叔丁基苯

CAS号1460-02-2

分子式C18H30

分子量246.43

展开


  • Mass

    MS-IW-8981          
    1,3,5-tri-tert-butylbenzene
    C18H30              (Mass of molecular ion:    246)
    

       Source Temperature: 180 °C
       Sample Temperature: 150 °C
       Reservoir, 75 eV
    

          29.0       6.2
          39.0       1.0
          41.0      10.7
          55.0       1.5
          57.0      52.2
          58.0       2.4
          77.0       1.0
          79.0       1.1
          91.0       2.1
          94.0       4.2
         100.0       1.4
         108.0       6.2
         108.5       1.1
         115.0       1.1
         117.0       1.0
         119.0       1.1
         128.0       1.1
         129.0       1.0
         131.0       1.2
         159.0       1.1
         175.0       4.1
         203.0       1.1
         215.0       1.3
         231.0     100.0
         232.0      19.0
         233.0       1.7
         246.0      13.6
         247.0       2.7
    

400 MHz in CDCl3


  • 1H NMR 399.65 MHz
    C18 H30 0.039 g : 0.5 ml CDCl3
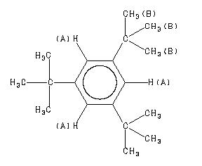
    1,3,5-tri-tert-butylbenzene
    ChemicalStructure
        Assign.     Shift(ppm)
    A 7.264 B 1.338

         Hz     ppm     Int.
    

       2903.20   7.265    330
        534.79   1.339   1000
        525.27   1.315     22
    

in CDCl3



KBr disc



nujol mull