图谱信息 供应商 相关产品
网站主页CAS数据库列表 14611-34-8更多图谱NαNδNω-TRI-CBZ-L-精氨酸(14611-34-8)红外图谱(IR1)

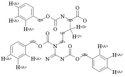
NαNδNω-TRI-CBZ-L-精氨酸

产品名称 NαNδNω-TRI-CBZ-L-精氨酸

CAS号14611-34-8

分子式C30H32N4O8

分子量576.6

展开

400 MHz in CDCl3


  • 1H NMR 399.65 MHz
    C30 H32 N4 O8 0.042 g : 0.5 ml CDCl3
    tricarbobenzoxy-L-arginine
    ChemicalStructure
        Assign.     Shift(ppm)
    A 7.34 to 7.24 B *1 5.18 C *1 5.08 D *1 5.03 E 4.32 F 3.92 G *2 1.82 J *2 1.65

         Hz     ppm     Int.
    

       2943.12   7.365     64
       2937.99   7.352    207
       2936.34   7.348    299
       2934.33   7.343    230
       2933.23   7.340    223
       2929.75   7.331   1000
       2925.17   7.320    328
       2923.89   7.317    298
       2921.69   7.311    208
       2920.22   7.307    210
       2916.74   7.299    422
       2915.46   7.296    367
       2911.98   7.287    720
       2908.50   7.278    657
       2904.10   7.267    170
       2901.17   7.260    291
       2898.79   7.254    135
       2897.33   7.250    109
       2894.95   7.244    410
       2894.03   7.242    205
       2892.38   7.238    118
       2889.63   7.231     83
       2886.89   7.224    165
       2295.08   5.743     65
       2287.02   5.723     66
       2071.25   5.183    380
       2053.30   5.138     96
       2031.87   5.085    304
       2029.67   5.079    239
       2019.59   5.054     68
       2019.23   5.053     68
       2018.13   5.050     61
       2016.66   5.047     68
       2016.30   5.046     67
       2011.53   5.034    327
       1729.09   4.327     49
       1566.99   3.921     71
        727.90   1.822     38
        659.58   1.651    105
    

KBr disc



nujol mull