图谱信息 供应商 相关产品
网站主页CAS数据库列表 1464-44-4更多图谱苯基-BETA-葡萄糖吡喃糖苷(1464-44-4)质谱(MS)

苯基-BETA-葡萄糖吡喃糖苷

产品名称 苯基-BETA-葡萄糖吡喃糖苷

CAS号1464-44-4

分子式C12H16O6

分子量256.25

展开


  • Mass

    MS-NW-2020          
    phenyl beta-D-glucopyranoside
    C12H16O6            (Mass of molecular ion:    256)
    

       Source Temperature: 200 °C
       Sample Temperature: 200 °C
       Direct, 75 eV
    

          15.0       2.9
          17.0       1.5
          18.0       8.4
          19.0       2.5
          26.0       1.4
          27.0       4.4
          28.0       3.7
          29.0       8.0
          30.0       2.5
          31.0       7.0
          38.0       1.7
          39.0       7.6
          40.0       3.7
          41.0       2.9
          42.0       2.9
          43.0       8.6
          44.0       2.5
          45.0       5.3
          47.0       1.4
          50.0       1.6
          51.0       3.2
          53.0       1.1
          55.0       6.0
          56.0       2.1
          57.0       8.8
          60.0       8.7
          61.0       5.4
          63.0       1.2
          65.0       5.9
          66.0       8.2
          68.0       1.1
          69.0       4.7
          70.0       1.6
          71.0       3.4
          72.0       1.3
          73.0       9.3
          74.0       1.4
          77.0       4.8
          85.0       7.3
          87.0       4.3
          89.0       1.2
          91.0       2.0
          94.0     100.0
          95.0       8.4
          96.0       1.3
          97.0       2.9
          98.0       1.5
          99.0       1.0
         107.0       1.2
         127.0       1.7
         145.0       1.5
         162.0       1.3
    

400 MHz in D2O


  • 1H NMR 399.65 MHz
    C12 H16 O6 0.032 g : 0.5 ml D2O
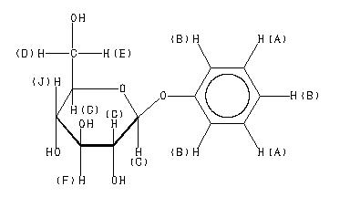
    phenyl beta-D-glucopyranoside
    ChemicalStructure
        Assign.     Shift(ppm)
    A 7.392 B 7.14 C 5.080 D *1 3.913 E *1 3.769 F 3.62 G 3.58 J 3.52

         Hz     ppm     Int.
    

       2963.13   7.415    421
       2955.32   7.395    706
       2947.02   7.375    595
       2859.50   7.156   1000
       2853.27   7.140    741
       2851.07   7.134    696
       2850.22   7.132    703
       2847.05   7.124    225
       2846.07   7.122    241
       2034.06   5.090    528
       2030.27   5.081     51
       2026.61   5.071    551
       1572.14   3.934    234
       1570.07   3.929    266
       1559.69   3.903    364
       1557.62   3.898    348
       1517.33   3.797     35
       1514.28   3.790    291
       1511.72   3.783     73
       1509.16   3.777    342
       1505.37   3.767     38
       1504.88   3.766     38
       1501.95   3.759    212
       1496.70   3.746    244
       1458.01   3.649    142
       1448.85   3.626    446
       1445.80   3.618     57
       1440.31   3.604    889
       1436.77   3.596    187
       1432.37   3.585    677
       1430.30   3.579    367
       1427.00   3.571    263
       1424.80   3.566    244
       1423.34   3.562    241
       1420.41   3.555     44
       1419.80   3.553     41
       1419.31   3.552     41
       1419.07   3.551     41
       1415.16   3.541    418
       1410.77   3.531     38
       1406.37   3.520    304
       1396.85   3.496    139
    

in D2O



KBr disc



liquid film



nujol mull